Ford Fiesta Manuals

Ford Fiesta: Идентификационные коды / Идентификационные коды. Описание и работа

Идентификационный номер автомобиля (VIN)

VIN-локатор

VIN представляет собой 17-значную комбинацию букв и цифр. ВИН-код выбито на металлическом язычке, приклепанном к приборной панели, вверху слева тире. VIN также указан на этикетке VC. Если табличка VIN требует замены, авторизованные дилеры должны связаться со своими региональный офис.

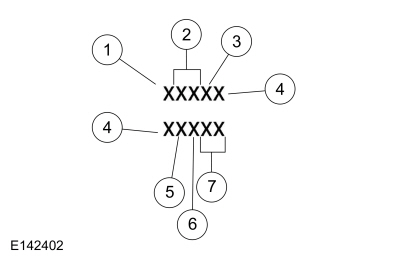
Элемент Описание
1 WMI (мировой идентификатор производителя)
2 Код типа ограничения
3 Модельный ряд автомобиля, серия, код типа кузова
4 Код типа двигателя
5 Компьютерная контрольная цифра
6 Код модельного года
7 Код сборочного завода
8 Порядковый номер производства

Идентификатор мирового производителя

Первые 3 позиции VIN — это WMI (мировой идентификатор производителя).

  • 3FA - Ford Motor Company, Мексика, легковой автомобиль

Тип ограничения

Четвертая позиция VIN — это код типа удерживающей системы транспортного средства.

  • D — Активные ремни безопасности (все положения), водителя и подушки безопасности переднего пассажира, боковой удар водителя и переднего пассажира сумки (все позиции), коленный валик водителя
  • F — Активные ремни безопасности (все положения), подушки безопасности водителя и переднего пассажира

Модельный ряд, серия и тип кузова автомобиля

Позиции с 5 по 7 обозначают модельный ряд, серию и тип кузова автомобиля.

  • P4A - Fiesta, 4-дверный седан - S
  • P4B - Fiesta, 4-дверный седан - SE
  • P4C - Fiesta, 4-дверный седан - Титан
  • P4D - Fiesta, 5-дверный хэтчбек - ST
  • P4E — Fiesta, 5-дверный хэтчбек — SE
  • P4F - Фиеста, 5-дверный хэтчбек - Титан
  • P4G — Fiesta, 5-дверный хэтчбек — ST
  • P4T - Fiesta, 5-дверный хэтчбек - S

Тип двигателя

Восьмая позиция VIN определяет тип двигателя, рабочий объем и количество цилиндров.

  • J — 1,6 л, рядный 4-цилиндровый, Ti-VCT (с двумя независимыми переменными фазами газораспределения)
  • X — 1,6 л рядный 4-цилиндровый, GTDI (бензиновый турбонаддув с непосредственным впрыском)

Контрольная цифра

Девятая позиция VIN - это назначенная правительством контрольная цифра, сгенерированная компьютером.

  • 0–9

Год выпуска

Десятая позиция VIN — это код модельного года.

  • К - 2019

Сборочный завод

Одиннадцатая позиция VIN — это код сборочного завода.

  • M - Ассамблея Куаутитлана, Куаутитлан, Мексика

Порядковый номер производства

Последние 6 ВИН position — числовой код последовательности сборки автомобиля. Это также серийный номер автомобиля и гарантийный номер. Серийный номер также может можно найти на блоке цилиндров, трансмиссии и раме.

  • 100001-999999

Коды ВК

Локатор меток ВК

Этикетка ВК содержит название производителя, месяц и год выпуска. производство, заявление о сертификации и VIN. Он также включает Полная масса автомобиля и информация о шинах. Если транспортному средству требуется замена ВК этикетке и не старше 4 лет, авторизованный дилер должен представить ВИН в соответствующий региональный офис. Региональный офис представит веб-форму на сборочный завод для замены этикетки. Однажды этикетка напечатана, представитель регионального офиса доставьте этикетку дилеру и засвидетельствуйте установку на автомобиль. Если транспортному средству более 4 лет и требуется замена таблички, дилер должен подать запрос в Департамент транспортных средств.

Элемент Описание
1 Код краски для наружных работ
2 Код региона
3 Внутренний специальный код заказа
4 Код внутренней отделки
5 Код ленты/красочной полосы
6 Код радио
7 Код оси
8 Код передачи
9 Весенний код
10 Информация о калибровке силового агрегата

Код краски

Коды красок представлены в виде кода, состоящего из двух частей. Первый набор кода краски цифры/буквы обозначают основной цвет кузова автомобиля. Второй набор букв/цифр (если применимо) указывают на двухцветный или акцентный корпус цвет. Все коды краски относятся к базовому/прозрачному покрытию.

  • B8 — Возмутительно-зеленый
  • D2 - Монетный двор Бохайского залива
  • EA- Острый красный перец
  • G1 — теневой черный / абсолютный черный
  • J7 - Магнитный
  • J9 — Апельсиновая пряность
  • N6 - Синяя молния
  • UG - белая платина (три слоя)
  • UX - Серебряный слиток металлик
  • YZ - Оксфорд белый

Коды внутренней отделки

Коды внутренней отделки указаны в виде двухкомпонентного кода. Первая цифра в списке указывает стиль сиденья и ткани. Вторая цифра в списке указывает цвет внутренней отделки.

Коды отделки

  • C - Кожаные сиденья Recaro (Protection/Torino/Lux)
  • D - Кожаные сиденья Salerno/Salerno (титан)
  • G - Тканевые сиденья Ultimate/MAX Lux
  • 1 — Тканевые сиденья Match Point/View (SE)
  • 4 - Тканевые сиденья Lithos/Domo (титан)
  • 5 - Вид тканевых сидений (S)

Цветовые коды внутренней отделки

  • D - Угольно-черный
  • E - Угольно-черный/красный стежок
  • H - Расплавленный апельсин
  • S - средний светлый камень
  • Y - Дымовая буря

Коды лент/красочных полос

Коды лент и полос краски не применяются.

Радиокоды

В следующем списке перечислены доступные радиокоды:

  • C — стерео AM/FM, CD-плеер, SYNC, навигация и сенсорный экран
  • D - стерео AM / FM, CD-плеер, поддержка mp3
  • F - стерео AM / FM, CD-плеер, поддержка mp3 и SYNC
  • G — стерео AM/FM, SYNC, сенсорный экран, навигация и SDARS (система спутникового цифрового аудиоприемника)
  • H — Sony® AM / FM стерео, SYNC, сенсорный экран и SDARS (система спутникового цифрового аудиоприемника)
  • M — стерео AM/FM, CD-проигрыватель, SYNC и USB (универсальная последовательная шина)
  • T — стерео AM/FM, SYNC, сенсорный экран и CD-проигрыватель
  • V - Sony® AM / FM стерео, навигация, SDARS (система спутникового цифрового аудиоприемника), SYNC и сенсорный экран
  • X — стерео AM/FM, USB (универсальная последовательная шина) и Bluetooth
  • Z - стерео AM / FM, MY FORD TOUCH и SDARS (система спутникового цифрового аудиоприемника)

Коды передачи

Доступные передачи:

  • А - 6-ступенчатый автомат
  • С - 5-ступенчатая механическая
  • М - 6-ступенчатая механическая

Весенние коды

Весна коды указаны в виде двухкомпонентного кода. Первый набор символов идентифицирует передние пружины. Второй набор символов идентифицирует заднюю часть пружины.

Передние пружины

  • Номер базовой детали - 5310

Задние пружины

  • Базовый номер детали - 5560

Информация о калибровке силового агрегата

ПРИМЕЧАНИЕ: Информация о калибровке трансмиссии ограничена максимум 5 символов в строке на этикетке VC. Из-за этого калибровка идентификатор, состоящий из более чем 5 символов, будет перенесен на вторая строка на этикетке ВК.

Информация о калибровке силового агрегата печатается в правом нижнем углу VC. этикетка. Печатается только информация о базовой калибровке. Редакция уровни не появятся, однако их можно получить через сканирование инструмент, использующий самую последнюю версию программного обеспечения.

Элемент Описание
1 Модельный год (год, когда впервые была введена стратегия калибровки).
2 Код автомобиля
3 Код передачи
4 Уникальные калибровки (обозначает разные оборудование для аналогичных транспортных средств), например: шины или передаточные числа
5 Код автопарка (описывает автопарк, к которому принадлежит транспортное средство), например: 6 — EVAP
6 Регион сертификации (ведущий регион, где несколько регионов включены в одну калибровку), пример: A — U.S. федеральный
7 Уровень редакции (будет повышаться по мере внесения изменений), полученный с помощью сканирующего устройства.

Год выпуска

  • Б - 2011 г.
  • С - 2012 г.
  • Д - 2013 г.
  • Э - 2014
  • Ф - 2015
  • Г - 2016
  • Ч - 2017
  • Дж- 2018
  • К - 2019

Код автомобиля

  • КТ - Фиеста

Код передачи

  • 1 - Механическая коробка передач
  • 2 - Автоматическая коробка передач

Уникальная калибровка

Выбросы / Средняя корпоративная экономия топлива / Департамент соответствия требованиям CO2 ответственный за присвоение этих калибровочных номеров. Уникальный идентификаторы назначаются для покрытия аналогичных транспортных средств, чтобы различать между шинами, конфигурациями привода, передаточными числами главной передачи и другими калибровочно-значимые факторы. Эти 2 персонажа выбираются аналитик для предоставления идентифицируемой информации, уникальной для каждой калибровки. Например, использование числа 2 для обозначения 2-клапанного двигателя по сравнению с использованием цифра 4 для обозначения 4-клапанного двигателя обеспечивает легко идентифицируемый разница.

Кодирование флота

  • 0 – Сертификация (4K в США, окончательная продажа на экспортных рынках)
  • 1 - Газовый двигатель для тяжелых условий эксплуатации/динамический стенд
  • 2 - Ассоциация производителей быстрых автомобилей, США.
  • 3 - Альтернативный протокол долговечности, США.
  • 4 - Не назначено
  • 5 - Не назначено
  • 6 - Испаритель
  • 7 - Накопление пробега, старение, выносливость, долговечность
  • 8 - БД
  • 9 - Не назначено

Регион сертификации

  • 5 - 50 штатов США
  • A - федеральный уровень США, включая высоту, может включать Канаду и/или Мексику.
  • B - стандарт США в Калифорнии, включая зеленые штаты США.
  • С - Канада
  • Д - Китай
  • E - Европейское сообщество - Австрия, Бельгия, Дания, Финляндия, Франция, Германия, Греция, Ирландия, Италия, Люксембург, Нидерланды, Португалия, Испания, Швеция и Великобритания (Великобритания)
  • F - EEC (расширенное европейское сообщество) - E-plus Хорватия, Чехия, Эстония, Венгрия, Норвегия, Польша, Румыния, русский Федерация, Словакия, Словения, Швейцария и Югославия
  • G - GCC (Кооперативный совет Персидского залива) - Бахрейн, Кувейт, Оман, Катар, Саудовская Аравия и ОАЭ (Объединенные Арабские Эмираты)
  • Н – Гонконг
  • J - Япония
  • К - Корея
  • L - Малайзия
  • М - Мексика
  • Н – Новая Зеландия
  • П - Австралия
  • Q - Южная Америка (Бразилия)
  • S - Сингапур
  • Т - Тайвань
  • U - Южная Америка (регионы с неэтилированным топливом)
  • V - Вьетнам
  • X - Остальной мир
  • Y - военный
  • Z - Израиль

Уровень редакции (не указан на этикетке)

  • 91-99 - Оборудование и уровни сертификации
  • 01-04 - Предварительные уровни
  • 00 - Производство работы 1 (начальная сертификация)
  • 05-09 - Предварительные изменения калибровки перед работой 1
  • 10-89 - Версии калибровки после задания 1
  • 0B - Уровень испытаний на долговечность
  • BD - средний уровень OBD (до 05)

Идентификационные коды

..

Подъем и подъем

..

Дополнительная информация:

Ford Fiesta 2014 - 2019 Руководство по техническому обслуживанию: Защитный кожух тормозного диска. Снятие и установка


Удаление ПРИМЕЧАНИЕ: Действия по удалению в этой процедуре могут содержать сведения об установке. Снимите тормозной диск. См.: Тормозной диск (206-03 Передний дисковый тормоз, снятие и установка). Снимите болты и щит тормозного диска. Крутящий момент: 80 фунтов на дюйм (9 Нм) Монтаж Чтобы установить, выполните процедуру удаления в обратном порядке.

Ford Fiesta 2014 - 2019 Руководство по техническому обслуживанию: Молдинг крышки багажника - 5-дверный. Снятие и установка


Удаление ПРИМЕЧАНИЕ: Действия по удалению в этой процедуре могут содержать сведения об установке. Снимите панель отделки задней двери. См.: Панель обивки двери багажного отделения (501-05 Внутренняя отделка и украшения, Снятие и установка). Отсоедините электрический разъем, отведите в сторону жгут проводов и снимите гайки. Крутящий момент: 35 фунтов на дюйм (4 Нм) ..

Категории

Измерение дорожного просвета. Общие процедуры

Специальные инструменты) / Общее оборудование

Поверхностный датчик

Проверять

Измерение дорожного просвета — спереди

ПРИМЕЧАНИЕ: Убедитесь, что автомобиль стоит на ровной поверхности, поверхность ровная, а шины накачаны до нужного давления. Автомобиль должен быть с полным баком топлива.

Высота посадки = 2-3
Измерение 2
Измерение 3
Используйте общее оборудование: рейсмус

читать далее

Каталог запчастей к Ford Fiesta