Kia Stonic: Рулевое управление / Электронный усилитель руля

Руководство по ремонту Kia Stonic (YB) / рулевое управление / Электронный усилитель руля

описание и работа
Описание

MDPS (усилитель руля с электроприводом) использует электродвигатель для поворота рулевого колеса. уменьшить усилия, необходимые для управления; система рулевого управления работает независимо от работы двигателя.

Модуль управления МДПС регулирует работу двигателя по данным, поступающим от полученные от отдельных датчиков через CAN (локальную сеть контроллеров).

Это приводит к более точному и своевременному управлению усилителем рулевого управления. чем гидравлические системы с механическим приводом. Компоненты (датчик угла поворота рулевого колеса, датчик крутящего момента, аварийные реле и др.) системы МДПС расположены в рулевой колонке. блок МДПС, Рулевая колонка и блок MDPS не должны быть разобраны для осмотра. Она должны быть заменены в случае необходимости.

Компоненты и обзор компонентов
ОБЗОР КОМПОНЕНТОВ

1. Рулевая колонка
2. Объединенный блок
3 . двигатель мдпс
4 . ЭБУ МДПС

Схематические изображения
Схематические изображения

КАБЕЛЬНАЯ ВИЛКА

Тип
ПИН-код
Описание
АККУМУЛЯТОР
1
батарея +
2
батарея +
ВСС
1
зажечь
2
-
3
-
4
-
5
-
6
-
7
High_CAN
8-й
Низкий_CAN

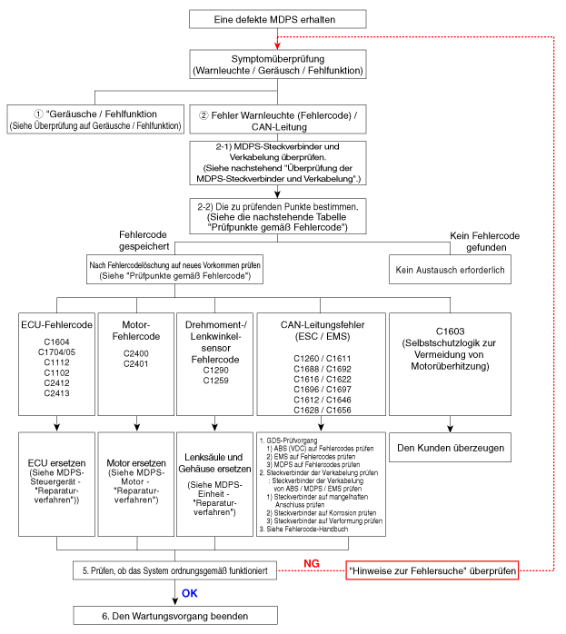
процедуры ремонта
Процедура ремонта A/S

Рабочий процесс A/S для система МСПП

① Проверка разъемов и прокладка кабеля
1.

Проверка разъемов и проводки.

Отдельные разъемы и кабели на предмет повреждений, деформации и Проверьте неправильное подключение.

(1)

Проверьте проводку со стороны автомобиля.

На обрыв цепи/короткое замыкание из-за неисправности Проверьте соединение, наличие повреждений или посторонних частиц.

(2)

Проверьте проводку со стороны ECU (3-фазный двигатель).

На обрыв цепи/короткое замыкание из-за неисправности Проверьте соединение, наличие повреждений или посторонних частиц.

(3)

Проверьте разъемы двигателя.

Расширение или повреждение хомута

В случае расширения или повреждения Необходимо заменить клемму на двигателе MDPS становиться.

(4)

Проверьте проводку двигателя.

В случае повреждения или проблем двигатель MDPS быть заменены.

② Контрольные точки в соответствии с кодом ошибки

позиция
код ошибки
Описание
ТЕСТ
мера технического обслуживания
CAN-линия
C1611
Тайм-аут CAN EMS
1. Проверьте ГДС
2. Проверьте заглушку на плотность посадки.
3. Проверьте разъем CAN ЭБУ.
4. Проверьте наземный статус транспортного средства MDPS.
Проверка линии EMS CAN
C1616
CAN-шина отключена
Проверьте линию CAN шасси
C1622
Ошибка сигнала скорости автомобиля
Проверка EMS (ЭБУ двигателя)
ДАТЧИК КРУТЯЩЕГО МОМЕНТА
C1290
Датчик крутящего момента, ошибка сигнала
Проверка после стирания кода неисправности.
Проверить штекер на плотность посадки.
Заменить колонку и корпус
Если явление сохраняется
C1112
Ошибка питания датчика крутящего момента
Проверьте разъемы датчика крутящего момента и ЭБУ.
Замените ECU, если проблема сохраняется
ЭБУ
C1604
Аппаратная ошибка ЭБУ
Проверка разъема ECU после очистки кода неисправности.
Замените ECU, если проблема сохраняется
ЭБУ
C1705
EPS-модуль
Неисправность в цепи предварительной зарядки
Проверка разъема ECU после очистки кода неисправности.
Замените ECU, если проблема сохраняется
ДВИГАТЕЛЬ
C2400
Ошибка сигнала двигателя
Проверка разъема двигателя после очистки кода неисправности.
Замените двигатель, если проблема сохраняется
ДВИГАТЕЛЬ
C2401
Неисправность датчика положения двигателя
Проверка разъема двигателя после очистки кода неисправности.
Замените двигатель, если проблема сохраняется
ЭБУ/двигатель
C2412
ошибка тока двигателя
Проверка разъема двигателя/ЭБУ после удаления кода неисправности.
Первая замена ЭБУ.
Замените двигатель, если проблема сохраняется
датчик угла поворота руля
C1259
Ошибка датчика угла поворота рулевого колеса
Сброс угла поворота руля после стирания кода неисправности
Проверить штекер на плотность посадки.
Заменить колонку и корпус
Если явление сохраняется
АККУМУЛЯТОР
C1102
Низкое напряжение батареи
Проверьте состояние напряжения батареи
напряжение зарядки аккумулятора
кооперативный контроль
C1696
Ошибка сигнала SPAS
Проверка SPAS
Стереть код ошибки.
C1697
кооперативный контроль
C1612
Ошибка сигнала TCU
Проверка ТКУ
Стереть код ошибки.
C1646
кооперативный контроль
C1628
Ошибка сигнала комбинации приборов
Проверка комбинации приборов
Стереть код ошибки.
C1656
кооперативный контроль
C1692
Ошибка сигнала VSM
Проверка VSM
Стереть код ошибки.
C1693
РАЗДЕЛ
C1260
Ошибка сигнала угла поворота рулевого колеса
Проверка после сброса угла поворота рулевого колеса
Если код неисправности C1259 не появляется, проверьте линию CAN.
Сбросить угол поворота
Стереть код ошибки.

Порядок ремонта в случае шума/неисправности
③ Проверьте на наличие шума/неисправностей

проблема
Описание ошибки и метод проверки
контрмера
шум/дребезжание
1. Возле стойки/корпуса МСПП генерируется шум.

Удалите окружающие детали и проверьте, не слышен ли такой же шум. имеет место.

Заменить рулевую колонку и корпус

При появлении шума замените двигатель

шум/дребезжание
1. Проверьте ручку и окружающие детали.

Проверьте проводку DAB, DAB, часовую пружину, комбинированный переключатель и т. д.

Проверьте каждую часть на шум

Проведите отдельный обзор.

2. Проверьте, где установлен C-MDPS.

Ослабьте винт крепления панели капота и установите на место.

(включая длинный винт для крепления нижнего часть C-MDPS)

Проверить установку панели капота
3. Проверьте зону крепления винта карданного вала.

Полностью снимите карданный шарнир и проверьте, не слышен ли такой же шум. происходит после переустановки.

Затяните новым болтом, если изношен болт карданного вала является
4. Проверить свободный ход колонки при неподвижном руле автомобиль поворачивается.

Магистральная проводка и колонны/заграждения, подключенные к МСПП проверить в области обтекателя/трения

Оставьте пространство между окружающими частями

Свободный люфт в районе проводки и колонки и любой проверить инвалидность.


④ Меры предосторожности при обслуживании

Меры предосторожности при обращении с МДПС (моторный гидроусилитель руля)

1.

Ошибка возникает из-за внутреннего повреждения, потому что новый субкомпонент упал или подвергся удару.

→ Не подвергайте подкомпонент ударам и поврежденным частям (из-за от падения и др.).

2.

Если при затяжке руля приложено слишком большое усилие, центр датчика крутящего момента может быть перекручен.

3.

При снятии/вставке разъема проводка может пройти чрезмерная внешняя сила может быть повреждена (деформирована).

4.

При хранении и замене компонентов до ненормальной температуры и условиях влажности.

Спецификации
Осмотреть. СПЕЦИФИКАЦИЯ позиция СПЕЦИФИКАЦИЯ Тип Моторизованный усилитель руля рулевой механизм Тип ...
двигатель мдпс
процедуры ремонта расширение 1. Отсоедините кабель заземления аккумуляторной батареи. 2. Снимите нижнюю облицовку приборной панели. (См. Корпус - "Нижняя арматура...
Дополнительная информация:

Kia Stonic (YB) Руководство по ремонту: Технические характеристики


Осмотреть. осмотреть. позиция сопротивление [Ом] Подушка безопасности водителя (DAB) 1,7~2,3 Подушка безопасности пассажира (PAB) 1,7~2,3 Боковая подушка безопасности (САБ) 1,8~2,4 ГОЛОВА AIRBA...