Kia Stinger: система впуска и выпуска / турбокомпрессор и выпускной коллектор

Kia Stinger CK 2018-2023 Руководство по ремонту / Механическая система двигателя / Впускная и выпускная система / Турбокомпрессор и выпускной коллектор

Компоненты и расположение компонентов
Компоненты

1. Модуль турбоколлектора
2. Прокладка модуля турбоколлектора
3. Защита от перегрева
4. Термозащита каталитического нейтрализатора прогрева (WCC)
5. Трубка подачи масла
6. Опора модуля турбоколлектора


7. Трубка слива масла
8. Прокладка трубки слива масла турбонагнетателя A
9. Прокладка трубки слива масла турбонагнетателя B
10. Прогрев каталитического нейтрализатора (WCC)
11. Прокладка каталитического нейтрализатора прогрева (WCC)




Процедуры ремонта
Снятие и установка
1.

Снимите кожух двигателя.

(См. Двигатель и трансмиссия в сборе — «Крышка двигателя»)

2.

Отсоедините отрицательную клемму аккумулятора.

3.

Снимите переднюю нижнюю крышку машинного отделения.

(См. Двигатель и трансмиссия в сборе — «Под крышкой моторного отсека»)

4.

Снимите шланг воздухозаборника.

(См. Система впуска и выпуска — «Воздухоочиститель»)

5.

Отсоедините разъем клапана рециркуляции (А) и вакуумный шланг. (Б).

6.

Снимите впускной шланг и трубку промежуточного охладителя в сборе (А).

Момент затяжки

Орехи (В):

14,7–19,6 Н·м (1,5–2,0 кгс·м, 10,8–14,5 фунт·фут)

Гайка (С):

14,7–19,6 Н·м (1,5–2,0 кгс·м, 10,8–14,5 фунт-фут)

1)

При отсоединении впускного шланга интеркулера вытяните зажим быстроразъемного соединения (A) в направлении, указанном стрелкой как показано ниже.

2)

Переместите зажим быстроразъемного соединения из положения (B) в положение (C), как показано ниже, и вытяните шланг быстрого соединения.

7.

Снимите впускной шланг турбонагнетателя (А).

Момент затяжки :

4,9–6,9 Н·м (0,5–0,7 кгс·м, 3,6–5,1 фунт-фут. 43,4–60,8 фунт · дюйм)

8.

Снимите термозащитный кожух (А).

Момент затяжки :

7,8–11,8 Н·м (0,8–1,2 кгс·м, 5,8–8,7 фунт-фут)

9.

Снимите подогреваемый кислородный датчик.

(См. Блок управления двигателем/топливная система — «Подогреваемый кислородный датчик (HO2S)»).

10.

Снимите теплозащитный щиток (А) каталитического нейтрализатора прогрева (WCC).

Момент затяжки :

18,6–23,5 Н·м (1,9–2,4 кгс·м, 13,7–17,4 фунт-фут)

11.

Снимите передний глушитель.

(См. Система впуска и выпуска — «Глушитель»)

12.

Снимите опору (А) каталитического нейтрализатора прогрева (WCC).

Момент затяжки

Болты (В):

18,6–27,5 Н·м (1,9–2,8 кгс·м, 13,7–20,3 фунт-фут)

Болты (С):

52,0–57,9 Н·м (5,3–5,9 кгс·м, 38,3–42,7 фунт-фут)

13.

Снимите уплотнительную крышку правого капота (А).

14.

Снимите каталитический нейтрализатор прогрева (WCC) (A) и прокладку.

Момент затяжки :

49,0–53,9 Н·м (5,0–5,5 кгс·м, 36,2–39,7 фунт-фут)

15.

Снимите трубку и шланг подвода воды к турбонагнетателю (А).

Момент затяжки :

26,5–32,4 Н·м (2,7–3,3 кгс·м, 19,5–23,7 фунт-фут)

16.

Снимите трубку подачи масла (А).

Момент затяжки :

11,8–17,6 Н·м (1,2–1,8 кгс·м, 8,7–41,1 фунт·фут)

Момент затяжки :

7,8–11,8 Н·м (0,8–1,2 кгс·м, 5,8–8,7 фунт-фут)

17.

Отсоедините шланг слива воды из турбонагнетателя (А).

18.

Снимите трубку слива масла турбонагнетателя (А).

Момент затяжки :

7,8–11,8 Н·м (0,8–1,2 кгс·м, 5,8–8,7 фунт-фут)

19.

Снимите опору модуля турбоколлектора (А).

Момент затяжки

Болты (В):

18,6–27,5 Н·м (1,9–2,8 кгс·м, 13,7–20,3 фунт-фут)

Болты (С):

52,0–57,9 Н·м (5,3–5,9 кгс·м, 38,3–42,7 фунт-фут)

20.

Снимите модуль турбоколлектора (А).

Момент затяжки :

49,0–53,9 Н·м (5,0–5,5 кгс·м, 36,2–39,7 фунт-фут)

Всегда используйте новую прокладку модуля турбоколлектора.

Всегда используйте новые гайки модуля турбоколлектора.

Позаботьтесь о том, чтобы трубка подачи масла и шланг в сборе мешал модуль турбоколлектора и все окружающие части.

Если трубка и шланг подачи масла повреждены, моторное масло недостаточно подается на турбокомпрессор, то он может повредить турбокомпрессор. Если маслосливная трубка и шланг повреждены и забиты, моторное масло сливается неравномерно то это может привести к утечке масла из турбонагнетателя. Будьте осторожны заполните трубу и шланг подачи масла, чтобы не повредить их (согнутые, раздавленные, порвался или треснул).

При установке заменить на новую прокладку. При установке модуль турбоколлектора, затяните гайки с предварительным моментом затяжки сначала, а затем затяните гайки с указанным крутящим моментом в показанная последовательность.

Осмотр на автомобиле
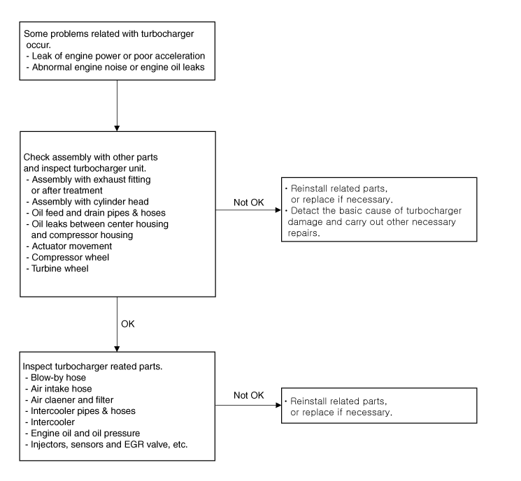
Поток диагностики турбокомпрессора

Если есть какие-либо проблемы, связанные с турбокомпрессором, такие как недостаточная мощность двигателя, плохой ускорение, ненормальный шум двигателя или утечка масла, проверьте турбонагнетатель в соответствии с процедурой следующим образом.

1.

Проверьте сборку турбокомпрессора и выпускного патрубка (или после лечения).

Проверьте, установлена ​​ли прокладка.

Проверьте, правильно ли затянуты монтажные болты (или гайки).

Проверьте, нет ли утечки газа.

Проверьте, нет ли на деталях повреждений, например, трещин.

Если утечка газа произошла из-за того, что не была установлена ​​прокладка или болты крепления (или гайки) были затянуты ненадлежащим образом, это может вызвать ненормальный шум двигателя.

Если причина проблемы обнаружена, подтяните болты крепления (или гайки) с указанным моментом затяжки или замените прокладку или поврежденные детали. с новыми при необходимости.

2.

Проверьте сборку выпускного коллектора и головки блока цилиндров.

Проверьте, установлена ​​ли прокладка.

Проверьте, правильно ли затянуты монтажные болты (или гайки).

Проверьте, нет ли утечки газа.

Если утечка газа произошла из-за того, что не была установлена ​​прокладка или болты крепления (или гайки) были затянуты ненадлежащим образом, это может вызвать ненормальный шум двигателя.

Если причина проблемы обнаружена, подтяните болты крепления (или гайки) с указанным моментом затяжки или при необходимости установите новую прокладку.

3.

Проверьте трубку и шланг подачи масла турбонагнетателя, а также трубку и шланг слива масла.

Проверьте, установлена ​​ли прокладка.

Проверьте, правильно ли затянуты крепежные болты.

Проверьте, на месте ли зажимы.

Проверьте, не повреждены ли маслопроводы и шланги (согнуты, раздавлены, порваны). или треснул).

Если утечка газа произошла из-за того, что не была установлена ​​прокладка или болты крепления затянуты неправильно, это может привести к утечке масла.

Если труба и шланг подачи масла повреждены, моторное масло не подается в достаточном количестве. к турбокомпрессору, это может повредить турбокомпрессор. Если слив масла трубка и шланг повреждены и забиты, моторное масло сливается неравномерно это может привести к утечке масла из турбонагнетателя.

Если причина проблемы обнаружена, подтяните болты крепления (или гайки) с указанным моментом затяжки или замените прокладку или поврежденные детали. с новыми при необходимости.

4.

Проверьте наличие утечек масла между центральным корпусом и корпусом компрессора.

Проверьте, правильно ли затянуты крепежные болты.

Проверьте, нет ли утечки масла.

Если уплотнительное кольцо (прокладка) между центральным корпусом и компрессором корпус поврежден, это может привести к утечке масла.

Если обнаружена утечка масла, замените турбокомпрессор на новый.

5.

Проверьте привод турбокомпрессора.

Электронный привод: проверьте движение штока привода, когда принудительный режим работы привода осуществляется КДС/ГДС. (Ссылаться к руководству по коду неисправности)

Если привод турбокомпрессора поврежден, это может привести к мощность и плохое ускорение.

Если шток привода не двигается, замените турбокомпрессор новым. один.

6.

Проверьте колесо компрессора турбонагнетателя.

Проверьте, не повреждено ли колесо компрессора (погнуто или деформировано).

Проверьте, плавно ли вращается колесо компрессора.

БЫВШИЙ)

Если колесо компрессора повреждено, это может вызвать ненормальный шум от турбокомпрессор и плохое ускорение.

Если колесо компрессора повреждено или деформировано, замените турбокомпрессор. с новыми.

7.

Проверьте турбинное колесо турбонагнетателя.

Проверьте, не повреждено ли турбинное колесо.

Проверьте, плавно ли вращается турбинное колесо.

БЫВШИЙ)

Если турбинное колесо повреждено, это может вызвать ненормальный шум от турбокомпрессор и плохое ускорение.

Если турбинное колесо повреждено или деформировано, замените турбокомпрессор. с новыми.

Если какая-либо проблема не обнаружена в турбокомпрессоре, проверьте относящуюся к турбокомпрессору части в соответствии с процедурой следующим образом.

1.

Проверьте продувочный шланг. (См. группу FL)

Проверьте, не поврежден ли шланг сапуна (перегнут, засорен).

Проверьте, не засорен ли клапан принудительной вентиляции картера (PCV).

Если шланг сапуна согнут или засорен, внутреннее давление в увеличивается, то моторное масло не подается равномерно к турбонагнетателю. Это может привести к повреждению турбонагнетателя и утечке масла.

Если причина проблемы обнаружена, замените вентиляционный шланг или родственные части новыми.

2.

Проверьте шланг воздухозаборника, подсоединенный к турбонагнетателю.

Проверьте, не поврежден ли шланг воздухозаборника (согнут, раздавлен, отсоединен). или порванный).

Если поперечное сечение шланга уменьшается по мере изгиба шланга воздухозаборника или раздавливается, всасываемый воздух в турбокомпрессор уменьшается и давление перед капель турбокомпрессора. Это может привести к повреждению турбонагнетателя и масла. утечки. Если шланг воздухозаборника отсоединен или порвался, постороннее вещество попадает в турбокомпрессор и вызывает его повреждение.

Если шланг воздухозаборника поврежден, замените его новым.

3.

Проверьте воздухоочиститель.

Проверьте фильтр воздухоочистителя на предмет загрязнения.

Проверьте фильтр воздухоочистителя на попадание воды.

Проверьте крышку воздухоочистителя на загрязнение.

Проверьте, является ли фильтр воздухоочистителя оригинальной деталью.

Если фильтр воздухоочистителя чрезмерно увлажнен или загрязнен, или неоригинальный часть израсходована, воздух, поступающий в турбонагнетатель, уменьшается, и давление в перед турбонагнетателем опускается. Так что это может привести к повреждению турбокомпрессора. и утечки масла. .

Если фильтр воздухоочистителя чрезмерно увлажнен или загрязнен, замените его. это с новым.

Замените фильтр воздухоочистителя в соответствии с графиком технического обслуживания.

4.

Проверьте патрубки и патрубки интеркулера.

Проверьте, правильно ли подсоединены шланги и трубки промежуточного охладителя.

Проверьте, не повреждены ли шланги и трубки промежуточного охладителя (согнуты, отсоединены). или порванный).

Проверьте, нет ли повреждений, например трещин, на интеркулере. трубы.

Проверьте, на месте ли зажимы.

Если шланги и трубки промежуточного охладителя повреждены или отсоединены, масло вытекает. может произойти из шлангов и труб, а турбонагнетатель может превысить допустимую скорости, это может привести к повреждению турбонагнетателя.

Если шланги и трубки промежуточного охладителя повреждены, замените их новыми.

Используйте новые хомуты при замене шлангов и труб.

5.

Проверьте интеркулер.

Проверьте, не повреждены ли патрубки и бачки промежуточного охладителя (утечка масла). или трещина).

Если интеркулер поврежден, турбонагнетатель может превысить допустимую скорости, это может привести к повреждению турбонагнетателя.

Если интеркулер поврежден, замените его новым.

При замене интеркулера используйте новые хомуты.

6.

Проверьте моторное масло.

Проверьте уровень моторного масла.

Проверьте моторное масло на изменение цвета, приток воды и вязкость. деградация.

Проверьте класс моторного масла.

Если уровень моторного масла низкий, количество моторного масла, подаваемого в турбокомпрессор, уменьшается, то подшипники в турбонагнетателе могут заклинить из-за недостаточного смазка и охлаждение.

Если причина проблемы обнаружена, долейте или замените моторное масло.

Замените моторное масло в соответствии с графиком технического обслуживания.

7.

Проверьте давление масла в двигателе.

Давление масла в двигателе: проверьте давление масла с помощью манометр после снятия датчика давления масла на блоке цилиндров.

Проверьте сетку моторного масла в масляном поддоне, если моторное масло уровень низкий. Затем проверьте форсунки на наличие утечек газа, если посторонние вещества скапливаются на масляном экране.

Если уровень моторного масла низкий, количество моторного масла, подаваемого в турбокомпрессор, уменьшается, то подшипники в турбонагнетателе могут заклинить из-за недостаточного смазка и охлаждение.

Если причина проблемы обнаружена, долейте или замените моторное масло. Если на масляном экране скопились посторонние вещества, промойте масляный экран и замените шайбу форсунки на новую после проверки форсунок на предмет утечки газа. Проверьте детали двигателя, связанные с маслом, такие как масляный насос, если необходимый.

Поскольку турбокомпрессор вращается с высокой скоростью 100 000 об/мин или выше, ухудшение моторного масла может привести к повреждению турбокомпрессора подшипники. Проверьте моторное масло на изменение цвета, приток воды, вязкость. деградация и снижение давления масла.

8.

Проверьте форсунки, датчики и т. д. (см. группу FL)

Проверьте, правильно ли работают форсунки.

Проверьте, не работают ли датчики, такие как датчик массового расхода воздуха (MAFS). датчик температуры впускного воздуха (IATS), датчик давления наддува (BPS), работать должным образом.

Если форсунки, датчики и т. д. не работают должным образом, это может привести к нехватка мощности двигателя.

Если причина проблемы обнаружена, замените соответствующие детали на новые.

Впускной коллектор
Компоненты и расположение компонентов Компоненты 1. Впускной коллектор 2. Привод VCM 3. Клип 4. Вал ВКМ 5. Прокладка впускного коллектора 6. Раструб впускного коллектора...
Глушитель
Компоненты и расположение компонентов Компоненты 1. Спереди глушитель 2. Кронштейн переднего глушителя (2WD) 3. Кронштейн переднего глушителя (полный привод) 4. Центральный глушитель 5. Задний м...
Дополнительная информация:

Kia Stinger CK 2018-2023 Руководство по техническому обслуживанию: Буксировка


Общая информация Буксировка Если автомобиль необходимо отбуксировать, вызовите профессиональную службу эвакуации. Никогда не буксировать транспортное средство только на веревке или цепи, поскольку это чрезвычайно опасно. [Передний] [Задний] Аварийная буксировка Существует три популярных способа буксировки автомобиля: ...

Kia Stinger CK 2018-2023 Руководство по техническому обслуживанию: Модуль шторной подушки безопасности (CAB)


Описание и работа Описание Установленные внутри обшивки потолка шторки безопасности (CAB) защищают водителя. и пассажиров от опасности в eSRSCM определяет срабатывание шторки безопасности на основе сигнала датчика бокового удара (SIS). SRSCM определяет развертывание ...