Hyundai Palisade: усилитель руля с электроприводом / процедуры ремонта

Hyundai Palisade (LX2) 2020-2023 Руководство по ремонту / Рулевая система / Рулевое управление с электроприводом / Процедуры ремонта

A/S Ремонтные изделия [C-MDPS]
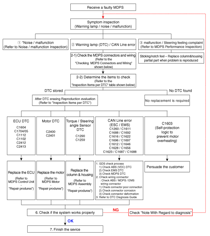
Рабочий процесс A/S системы MDPS

Hyundai Palisade. Repair procedures

① Шум/неисправность Проверка

Hyundai Palisade. Repair procedures

② Контрольная лампа (DTC) / Ошибка линии CAN
2 - 1 Проверка разъемов и проводки
1.
Проверка разъемов и проводки.
Проверьте наличие повреждений, отталкивания или неправильного соединения в каждом разъеме. и проводка.
(1)
Проверьте проводку со стороны автомобиля.
Проверить на обрыв/короткое замыкание из-за неправильного соединения, повреждения или инородного тела.

Hyundai Palisade. Repair procedures

(2)
Проверьте проводку со стороны ЭБУ (двигатель 3-фазное питание).
Проверить на обрыв/короткое замыкание из-за неправильного соединения, повреждения или инородного тела.

Hyundai Palisade. Repair procedures

(3)
Проверьте разъем двигателя.
Расширение терминала и повреждение

Hyundai Palisade. Repair procedures

Hyundai Palisade. Repair procedures
В случае возникновения необходимо заменить двигатель MDPS. терминальное расширение и повреждение.
(4)
Проверьте проводку двигателя.

Hyundai Palisade. Repair procedures

Hyundai Palisade. Repair procedures
Необходимо заменить двигатель MDPS в случае повреждения или проблема.
(5)
Снимите втулку (A), а затем проверьте проводку на TAS. сторона (B) и сторона ECU (C).
Проверьте на наличие повреждений, отталкивания или неправильного подключения в каждом разъеме и проводке.

Hyundai Palisade. Repair procedures

Hyundai Palisade. Repair procedures
В случае возникновения необходимо заменить узел MDPS. повреждение или проблема.
Проверьте проводку TAS в случае C1259/C1290. код неисправности.
2 - 2 элемента проверки на DTC
код неисправности
Проблема
Первый метод анализа
Как ремонтировать
C1290
Ошибка сигнала датчика крутящего момента
Сначала сотрите DTC, проверьте соединение разъема.
В случае повторения замените колонку и корпус.

C1112
Ошибка напряжения датчика крутящего момента
Проверьте разъем между датчиком крутящего момента и ЭБУ.
В случае повторения замените ЭБУ.
C1705
Аппаратная ошибка ЭБУ
Сначала сотрите DTC, а затем проверьте, проверьте разъем ЭБУ.
C1604
Ошибка перегрузки/разрядки ЭБУ
C2413
Аппаратная ошибка ЭБУ
C2400
Ошибка сигнала двигателя
В случае возникновения замените двигатель.
C2401
Ошибка цепи двигателя
C2412
Ошибка подачи напряжения на двигатель
Сначала сотрите DTC и проверьте, проверьте разъем ЭБУ/двигателя.
Сначала замените ЭБУ. В случае повторения замените двигатель.
C1259
Ошибка сигнала датчика угла
После сброса нулевой точки и удаления DTC проверьте состояние соединения разъема.
В случае повторения замените колонку и корпус.
C1261
Ошибка установки нуля
После сброса нулевой точки повторите проверку.
Сбросьте установку нуля.
C1102
Проблема с напряжением аккумулятора
Проверьте состояние напряжения батареи.
Зарядите напряжение батареи.
C1696, C1697
Ошибка сигнала SPAS
Проверьте СПАС.
Сотрите DTC (MDPS не подлежит замене).
С1612,С1646
Ошибка сигнала TCU
Проверьте ТКУ.
C1628, C1656
Ошибка сигнала комбинации приборов
Проверьте комбинацию приборов.
C1692, C1693
Ошибка сигнала VSM
Проверьте ВСМ.
C1260
Ошибка сигнала датчика угла
После сброса угла перепроверьте. Если C1259 не возникает, проверьте линию CAN.
Сбросить датчик угла. Стереть код неисправности.
C1611
CAN тайм-аут EMS
1. Проверьте состояние G-SCAN.
2. Проверьте соединение разъема.
3. Проверьте линию CAN ЭБУ.
4. Проверьте линию заземления MDPS.
Проверьте линию EMS CAN.
C1616
CAN-ШИНА ВЫКЛ.
Проверьте линию CAN шасси.
C1622
Ошибка сигнала скорости автомобиля
Проверьте EMS (ЭБУ двигателя).
С1623,С1687,С1688
Может тайм-аут Датчик угла поворота рулевого колеса
1. Проверьте разъем питания MDPS и предохранитель.
2. Проверьте линию заземления MDPS.
3. Проверьте линию CAN MDPS ECU / VSM.
4. Статус связи с GDS
В случае повторения замените ЭБУ.
(тяжелое рулевое управление и отсутствие связи)

③ Проверка производительности MDPS
1.
Проверьте угол поворота рулевого колеса и коды DTC, относящиеся к системе рулевого управления.
2.
Проверка больших усилий на рулевом колесе
(1)
Проверьте давление в шинах и ширину.
(2)
Проверьте коды DTC, относящиеся к ошибке связи CAN.
(3)
Проверьте сход-развал колес.
④ Общие проблемы MDPS
Дело 1
Случай 2
Случай 3

Hyundai Palisade. Repair procedures

Hyundai Palisade. Repair procedures

Hyundai Palisade. Repair procedures

шум U-образного соединения
Шум часовой пружины
DAB/проводной шум
Затяните болт
Заменить часовую пружину
Переставить и заменить DAB

Случай 4
Случай 5
Случай 6

Hyundai Palisade. Repair procedures

Hyundai Palisade. Repair procedures

Hyundai Palisade. Repair procedures

Шум многофункционального переключателя
Дефект крепления гайки МБ
Дефект крепления гайки М10
Заменить многофункциональный переключатель
Затяните гайку
Затяните гайку

Случай 7
Случай 8

Hyundai Palisade. Repair procedures

Hyundai Palisade. Repair procedures

Дефект крепления верхнего болта капота
Дефект крепления гайки кожуха
Затяните верхний болт кожуха
Заменить часовую пружину

Hyundai Palisade. Repair procedures
Меры предосторожности при обращении с MDPS (усилитель руля с электроприводом)
Отказ происходит из-за внутреннего повреждения из-за падения и удар и чрезмерное внешнее воздействие на новый частичный компонент.
→ Остерегайтесь ударов по частичному компоненту и замените поврежденную деталь (при падении и т. д.) на новую.
При креплении рулевого управления чрезмерный удар может привести к скручивание центральной точки датчика крутящего момента.
При снятии/установке разъема возможно повреждение проводки (деформируется) чрезмерной внешней силой.
Будьте осторожны при хранении и замене отдельных компонентов. в условиях аномальной температуры и влажности.
Процедуры ремонта A/S [R-MDPS]
Руководство по устранению шума в колонке и корпусе

Hyundai Palisade. Repair procedures

R-MDPS Контрольная лампа Руководство по диагностике

Hyundai Palisade. Repair procedures

Пункты проверки на DTC
код неисправности
Проблема
Первый метод анализа

Как ремонтировать
C1290
Ошибка сигнала датчика крутящего момента
Проверьте после удаления кода неисправности, проверьте датчик крутящего момента, разъем блока питания MDPS
Замените короткую шестерню.

C1112
Ошибка напряжения датчика крутящего момента
В случае повторения замените блок питания MDPS.
C1705
Ошибка перегрузки/разрядки ЭБУ
C1604
Аппаратная ошибка ЭБУ
C2413
Аппаратная ошибка ЭБУ
C2400
Ошибка сигнала двигателя
C2401
Ошибка цепи двигателя
C2412
Ошибка подачи напряжения на двигатель
Проверьте после удаления кода неисправности. Проверьте разъем ЭБУ/двигателя.
C1259
Ошибка сигнала угла поворота рулевого колеса
Проверка после сброса нулевой точки угла поворота рулевого колеса
Проверьте состояние соединения разъема
C1261
Ошибка сигнала угла поворота рулевого колеса
Проверка после сброса нулевой точки угла поворота рулевого колеса
Сбросить нулевую точку угла поворота рулевого колеса
C1102
Низкое напряжение батареи
Проверьте состояние напряжения батареи
Зарядите напряжение батареи.
C1696, C1697
Ошибка сигнала SPAS
Проверить СПАС
Сотрите DTC (MDPS не подлежит замене).
С1612,С1646
Ошибка сигнала TCU
Проверить ТКУ
С1628,С1633,С1656
Ошибка сигнала помех
Проверить кластер
C1692, C1693
Ошибка сигнала VSM
Проверить VCM
C1260
Ошибка сигнала угла поворота рулевого колеса
Проверка после сброса нулевой точки угла поворота рулевого колеса
Сбросить нулевую точку угла поворота рулевого колеса
Если C1259 не возникает, проверьте линию CAN.
Стереть код неисправности
C1611
МОЖЕТ ИСКЛЮЧИТЬ ЭМС
1. Проверьте состояние G-SCAN.
Проверьте ЭБУ двигателя, линию CAN шасси.
C1613
Ошибка сигнала двигателя
2. Проверьте подключение разъема.
Проверьте EMS (ЭБУ двигателя)
C1616
CAN-ШИНА ВЫКЛ.
3. Проверьте разъем CAN ЭБУ.
Проверьте линию CAN шасси
C1622
Ошибка сигнала скорости автомобиля
4. Проверьте линию заземления MDPS.
Проверьте EMS (ЭБУ двигателя)
C1814
Ошибка сигнала CAN SAS
Проверьте модуль SAS
Стереть код неисправности
C1704
ошибка реле ЭБУ
Проверьте после удаления кода неисправности, проверьте разъем ECU
В случае повторения замените блок питания MDPS.
C1659
Сигнал CAN SAS не введен
Проверьте БЛОК SAS, линию CAN шасси.
Стереть код неисправности
C1804
Сигнал LKAS не введен
Проверьте ЭБУ LKAS.
Стереть код неисправности
C1805
Ошибка сигнала LKAS
C1812
Сигнал GATEWAY не введен
Проверьте линию CAN ECU двигателя
Стереть код неисправности
C1817
Ошибка сигнала GATEWAY
C1704
ошибка реле ЭБУ
Проверьте после удаления кода неисправности, проверьте разъем ECU
В случае повторения замените блок питания MDPS.

Проверка разъемов и проводки
1.
Проверка разъемов и проводки.
Проверьте наличие повреждений, отталкивания или неправильного соединения в каждом разъеме. и проводка.
(1)
Проверьте проводку со стороны автомобиля.
- Проверить на обрыв/короткое замыкание из-за неправильного соединения, повреждения или инородного тела.

Hyundai Palisade. Repair procedures

Hyundai Palisade. Repair procedures
Следующие явления не являются неисправностями, когда Контрольная лампа MDPS не горит.
Временно отсутствует вспомогательное рулевое усилие в течение времени самодиагностики системы MDPS (около 2 секунды) сразу после запуска двигателя, но это не неисправность.
Слышен шум из-за подключения реле, когда двигатель включен или выключен, но это нормально звук работы.
При вращении двигателя слышен шум. управление рулем в неподвижном состоянии или состояние движения на низкой скорости, но это нормально рабочий звук.
MDPS (усилитель руля с электроприводом) Меры предосторожности при обращении
1.
Отказ может произойти из-за внутреннего повреждения, когда новая деталь падает, ударяется или подвергается чрезмерной внешней нагрузке.
→ Если часть детали ударилась или упала, замените ее новой. часть.
2.
Если при сборке рулевого колеса прилагаются чрезмерные усилия, отцентрируйте точка датчика крутящего момента может быть деформирована.
→ Необходимо соблюдать осторожность при затяжке с чрезмерным ударом.
3.
Будьте осторожны, чтобы не повредить проводку из-за деформации при отсоединении/подсоединении контактор или чрезмерное внешнее усилие.
→ Чрезмерное вставление разъема или использование после удаления запрещено.
4.
Необходимо соблюдать осторожность при частичном хранении деталей и работах по замене под ненормальное состояние температуры и влажности.

Принципиальные диаграммы

..

Блок питания MDPS в сборе

Процедуры ремонта Замена 1. Выключите зажигание и отсоедините отрицательный (-) аккумулятор. кабель. 2...

Дополнительная информация:

Hyundai Palisade (LX2) 2020-2023 Руководство по эксплуатации: Электронный стояночный тормоз (ЭПБ)


Применение стояночного тормоза Чтобы применить EPB (Электронный стояночный тормоз): 1. Нажмите на педаль тормоза. 2. Поднимите переключатель EPB. Убедитесь, что стояночный тормоз i Загорается сигнальная лампа. ПРЕДУПРЕЖДЕНИЕ Чтобы снизить риск СЕРЬЕЗНЫХ ТРАВМА или СМЕРТЬ, не используйте EPB, когда автомобиль двигаться, кроме как в чрезвычайной ситуации ситуация...

Hyundai Palisade (LX2) 2020-2023 Руководство по техническому обслуживанию: Порядок ремонта


Замена [Удаление] • Наденьте перчатки, чтобы не поранить руки. • Используйте чехлы для сидений, чтобы не повредить поверхности...

Категории

Предупреждающие этикетки о подушках безопасности

Hyundai Palisade. Air Bag Warning Labels

Предупреждающие таблички о подушках безопасности, требуемые движение по национальным автомагистралям США Администрация безопасности (NHTSA), являются прилагается для предупреждения водителя и пассажиров потенциальных опасностей воздуха система сумок. Обязательно прочитайте все информация о подушках безопасности, которые установлены на вашем автомобиле в этом Инструкция по применению.

читать далее