Kia Picanto: система впуска и выпуска / модуль турбоколлектора

Руководство по ремонту и обслуживанию Kia Picanto JA 2017-2023 гг. / Механическая система двигателя / Впускная и выпускная система / Модуль турбоколлектора

Компоненты и расположение компонентов
Компоненты

1. Термозащита муфты
2. Прогрев каталитического нейтрализатора (WCC)
3. Прокладка каталитического нейтрализатора прогрева (WCC)
4. Верхняя опора каталитического нейтрализатора прогрева (WCC)
5. Верхняя опора выпускного коллектора
6. Коллектор турбонагнетателя
7. Прокладка коллектора турбонагнетателя


8. Тепловая защита выпускного коллектора.
9. Трубка и шланг слива масла
10. Прокладка трубки слива масла А
11. Прокладка трубки слива масла B
12. Трубка и шланг подачи масла
13. Трубка и шланг подачи воды
14. Водосточная труба и шланг

Компоненты

1. Корпус турбины
2. Вход в турбину
3. Выход из турбины
4. Корпус компрессора
5. Выход компрессора
6. Вход компрессора
7. Центральный корпус
8. EWGA (электрический привод заслонки сброса отходов)
9. Шток привода

Процедуры ремонта
Снятие и установка
1.
Снимите крышку машинного отделения.
(См. Двигатель и трансмиссия в сборе — «Под крышкой моторного отсека»)
2.
Слейте охлаждающую жидкость двигателя.
(См. Система охлаждения — «Охлаждающая жидкость»)
3.
Снимите воздушный фильтр в сборе.
(См. Система впуска и выпуска — «Воздухоочиститель»)
4.
Снимите передний глушитель.
(См. Система впуска и выпуска — «Глушитель»)
5.
Отсоедините удлинительный разъем (А) электрического привода перепускной заслонки (EWGA).

6.
Снимите передний кислородный датчик.
(См. Блок управления двигателем/топливная система — «Подогреваемый кислородный датчик (HO2S)»).
7.
Отсоедините водяной шланг (А).

8.
Отсоедините шланг дренажной трубы турбонагнетателя (А).

9.
Снимите термозащиту муфты (A) и трубку слива воды (B).
Момент затяжки
Болт крепления термозащиты:
9,8–11,8 Н·м (1,0–1,2 кгс·м, 7,2–8,7 фунт-фут)
(Если есть колпачок, затягивайте его до тех пор, пока колпачок не будет снят.)
Болт с проушиной:
26,4–32,3 Н·м (2,7–3,3 кгс·м, 19,5–32,3 фунт-фут) Монтаж на трубе
Болт:
9,8–11,8 Н·м (1,0–1,2 кгс·м, 7,2–8,7 фунт-фут)

10.
Снимите опору выпускного коллектора (А).
Момент затяжки :
39,2–44,1 Н·м (4,0–4,5 кгс·м, 28,9–32,5 фунт-фут)

11.
Снимите верхнюю опору (A) каталитического нейтрализатора прогрева (WCC), а затем снимите каталитический нейтрализатор прогрева (WCC) (B).
Момент затяжки
Катализатор прогрева (WCC):
49,0–53,9 Н·м (5,0–5,5 кгс·м, 36,1–39,7 фунт-фут)
Верхняя опора каталитического нейтрализатора прогрева (WCC):
18,6–23,5 Н·м (1,9–2,4 кгс·м, 13,7–17,4 фунт-фут)

12.
Снимите шланг и трубку подачи воды (A) и трубку слива масла (B).
Момент затяжки
Трубка подачи воды:
26,4–32,3 Н·м (2,7–3,3 кгс·м, 19,5–32,3 фунт-фут)
Трубка слива масла:
9,8–11,8 Н·м (1,0–1,2 кгс·м, 7,2–8,7 фунт-фут)

13.
Снимите трубку подачи масла (А).
Момент затяжки :
11,8–17,7 Н·м (1,2–1,8 кгс·м, 8,7–13,0 фунт·фут)

14.
Снимите термозащиту выпускного коллектора (А).
Момент затяжки :
9,8–11,8 Н·м (1,0–1,2 кгс·м, 7,2–8,7 фунт-фут)

15.
Снимите модуль турбоколлектора (А) с прокладкой.
Момент затяжки :
35,3–41,2 Н·м (3,6–4,2 кгс·м, 26,0–30,4 фунт-фут)

При установке заменить на новую прокладку.
Будьте осторожны, чтобы не раздавить трубку подачи масла и шланг, так как повреждена подача масла. трубы и шланга могут привести к повреждению турбонагнетателя из-за недостаточного подача масла в турбокомпрессор.
Когда установки, предварительно затяните гайки в порядке, указанном ниже, а затем полностью затяните болты моментом, указанным в заказе.

16.
Установите в порядке, обратном снятию.
Осмотр на автомобиле
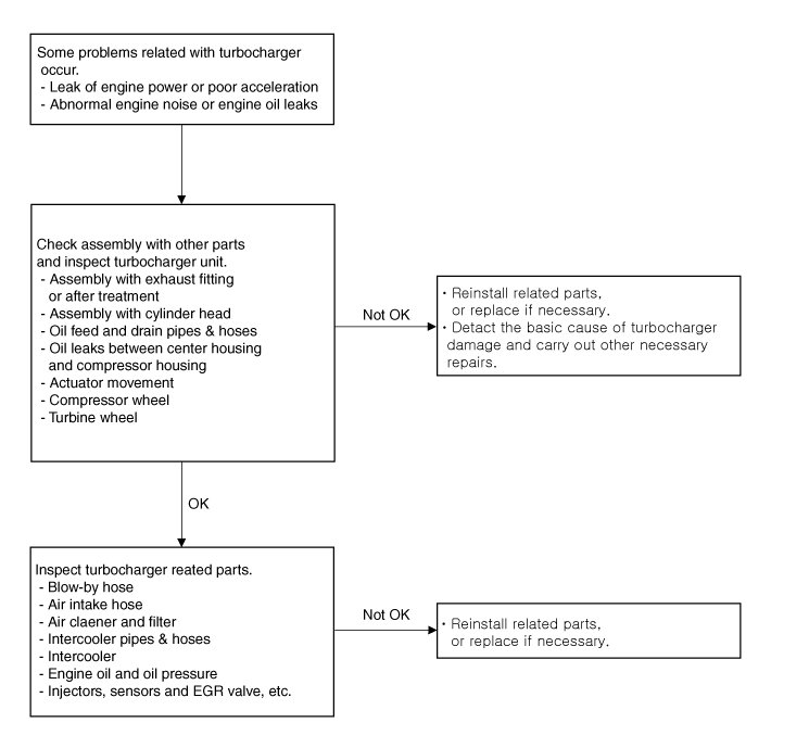
Поток диагностики турбокомпрессора

Если какая-либо проблема, связанная с турбокомпрессором, например, отсутствие двигателя мощность, плохое ускорение, ненормальный шум двигателя или утечки масла, проверьте турбокомпрессор в соответствии со следующей процедурой.
1.
Проверьте сборку турбокомпрессора и выпускной штуцер (или доочистку).
Проверьте, установлена ​​ли прокладка.
Убедитесь, что монтажные болты (или гайки) затянуты должным образом.
Проверьте на утечку газа.
Проверьте наличие повреждений, например трещин, на деталях.
Утечка газа из-за отсутствия прокладки или недостаточной затяжки крепежных болтов (или гаек) может вызвать ненормальный шум двигателя.
Если обнаружена причина проблемы, подтяните болты крепления (или гайки) до указанного крутящего момента или замените прокладку или поврежденные детали с новыми при необходимости.
2.
Проверьте сборку выпускного коллектора и головки блока цилиндров.
Проверьте, установлена ​​ли прокладка.
Убедитесь, что крепежные болты (или гайки) затянуты должным образом.
Проверьте на утечку газа.
Утечка газа из-за отсутствия прокладки или недостаточной затяжки крепежных болтов (или гаек) может вызвать ненормальный шум двигателя.
Если обнаружена причина проблемы, подтяните болты крепления (или гайки) до указанного крутящего момента или при необходимости установите новую прокладку.
3.
Проверьте трубку и шланг подачи масла турбонагнетателя, а также трубку и шланг слива масла.
Проверьте, установлена ​​ли прокладка.
Проверьте, правильно ли затянуты крепежные болты.
Проверьте, на месте ли зажимы.
Проверьте, не повреждены ли маслопроводы и шланги (согнуты, раздавлены, порваны или треснуты).
Если утечка газа произошла из-за того, что не была установлена ​​прокладка или недостаточно затянуты крепежные болты, это может привести к утечке масла.
Если трубка и шланг подачи масла повреждены, моторное масло не подается недостаточно для турбонагнетателя, это может привести к повреждению турбокомпрессора. Если маслосливная трубка и шланг повреждены и забиты, моторное масло не сливается плавно, это может привести к утечке масла из турбонагнетателя.
Если обнаружена причина проблемы, подтяните болты крепления (или гайки) до указанного крутящего момента или замените прокладку или поврежденные детали с новыми при необходимости.
4.
Проверьте наличие утечек масла между центральным корпусом и корпусом компрессора.
Убедитесь, что монтажные болты затянуты должным образом.
Проверьте на утечку масла.
Поврежденное уплотнительное кольцо (прокладка) между центральным корпусом и корпусом компрессора может привести к утечке масла.
Если обнаружена утечка масла, замените турбокомпрессор на новый.
5.
Проверьте привод турбокомпрессора.
Электронный привод: проверьте движение штока привода, когда принудительный режим работы электропривода осуществляется КДС. (См. руководство по коду неисправности)

Поврежденный актуатор турбонагнетателя может привести к недостаточной мощности двигателя и плохому ускорению.
Если шток привода не двигается, замените турбонагнетатель новым.
6.
Проверьте колесо компрессора турбонагнетателя.
Проверьте, не повреждено ли колесо компрессора (погнуто или деформировано).
Убедитесь, что колесо компрессора вращается плавно.
например

Поврежденное колесо компрессора может вызвать ненормальный шум от турбонагнетателя и плохое ускорение.
Если колесо компрессора повреждено или деформировано, замените турбонагнетатель новым.
7.
Проверьте турбинное колесо турбонагнетателя.
Проверьте, не повреждено ли турбинное колесо.
Убедитесь, что колесо турбины вращается плавно.
например

Поврежденное колесо турбины может вызвать ненормальный шум от турбонагнетателя и плохое ускорение.
Если турбинное колесо повреждено или деформировано, замените турбонагнетатель новым.
Если с турбокомпрессором проблем не обнаружено, проверьте детали, относящиеся к турбокомпрессору, в соответствии с описанной ниже процедурой.
1.
Проверьте продувочный шланг. (См. группу FL)
Проверьте, не поврежден ли шланг сапуна (перегнут, засорен).
Проверьте, не засорен ли клапан принудительной вентиляции картера (PCV).
Если шланг сапуна перегнут или забит, внутреннее давление в увеличится, и моторное масло не будет плавно поступать в турбокомпрессора, вызывая повреждение турбокомпрессора и утечку масла.
Если причина проблемы обнаружена, замените шланг сапуна или связанные с ним детали новыми.
2.
Проверьте шланг воздухозаборника, подсоединенный к турбонагнетателю.
Проверьте, не поврежден ли шланг воздухозаборника (согнут, раздавлен, отсоединен или порван).
Если поперечное сечение шланга уменьшается по мере изгиба шланга воздухозаборника или раздавливается, всасываемый воздух в турбокомпрессор будет уменьшен, а давление перед турбонагнетателем упадет, что приведет к повреждению турбокомпрессор или утечка масла. Если шланг воздухозаборника отсоединен или порван, посторонние вещества могут попасть в турбокомпрессор и повредить его.
Если шланг воздухозаборника поврежден, замените его новым.
3.
Проверьте воздухоочиститель.
Проверьте фильтр воздухоочистителя на предмет загрязнения.
Проверьте фильтр воздухоочистителя на попадание воды.
Проверьте крышку воздухоочистителя на загрязнение.
Убедитесь, что фильтр воздухоочистителя является оригинальной деталью.
Если фильтр воздухоочистителя чрезмерно увлажнен или загрязнен, или используется неоригинальная деталь, поступление воздуха в турбокомпрессор будет уменьшено и давление перед турбонагнетателем упадет, что приведет к повреждению турбокомпрессор и утечка масла.
Если фильтр воздухоочистителя чрезмерно увлажнен или загрязнен, замените его новым.
Замените фильтр воздухоочистителя в соответствии с графиком технического обслуживания.
4.
Проверьте патрубки и патрубки интеркулера.
Убедитесь, что шланги и трубки промежуточного охладителя подсоединены правильно.
Проверьте, не повреждены ли шланги и трубки промежуточного охладителя (согнуты, отсоединены или порваны).
Проверьте наличие повреждений, таких как трещины, на патрубках промежуточного охладителя.
Убедитесь, что зажимы установлены на свои места.
Если шланги и трубки промежуточного охладителя повреждены или отсоединены, масло из шлангов и труб может произойти утечка, а турбокомпрессор может превышать допустимую скорость, что может привести к повреждению турбокомпрессора.
Если шланги и трубки промежуточного охладителя повреждены, замените их новыми.
Используйте новые хомуты при замене шлангов и труб.
5.
Проверьте интеркулер.
Проверьте, не повреждены ли трубки и бачки промежуточного охладителя (утечка масла или трещины).
Если промежуточный охладитель поврежден, турбокомпрессор может превысить допустимую скорость, что приведет к повреждению турбокомпрессора.
Если интеркулер поврежден, замените его новым.
При замене интеркулера используйте новые хомуты.
6.
Проверьте моторное масло.
Проверьте уровень моторного масла.
Проверьте моторное масло на предмет обесцвечивания, притока воды и ухудшения вязкости.
Проверьте класс моторного масла.
Если уровень масла в двигателе низкий, количество моторного масла подается на турбонагнетатель будет уменьшаться, что приведет к заеданию подшипников в турбокомпрессоре из-за к недостаточной смазке и охлаждению.
Если причина проблемы обнаружена, долейте или замените моторное масло.
Замените моторное масло в соответствии с графиком технического обслуживания.
7.
Проверьте давление масла в двигателе.
Двигатель давление масла: проверьте давление масла с помощью масляного манометра после снятие датчика давления масла на блоке цилиндров.
Проверять сетку моторного масла в масляном поддоне, если уровень моторного масла низкий. Затем проверьте форсунки на утечку газа, если посторонние вещества скапливается на масляном экране.
Если уровень масла в двигателе низкий, количество моторного масла подается на турбонагнетатель будет уменьшаться, что приведет к заеданию подшипников в турбокомпрессоре из-за к недостаточной смазке и охлаждению.
Если причиной обнаружена проблема, долейте или замените моторное масло. Если посторонние вещества скопившейся на масляном экране, промойте масляный экран и замените шайба форсунки новой после проверки форсунок на газ утечки. Проверьте детали двигателя, связанные с маслом, такие как масляный насос, если необходимый.
Как турбокомпрессор вращается с высокой скоростью 100 000 об/мин и выше, ухудшение качества моторного масла может привести к повреждению турбонагнетателя подшипники. Проверьте моторное масло на изменение цвета, приток воды, вязкость. деградация и снижение давления масла.
8.
Проверьте форсунки, датчики и т. д. (см. группу FL)
Проверьте правильность работы форсунок.
Проверять что датчики, такие как датчик массового расхода воздуха (MAFS), впускного воздуха датчик температуры (IATS) и датчик давления наддува (BPS) работают правильно.
Неправильная работа форсунок, датчиков, клапана EGR и т. д. может привести к снижению мощности двигателя.
Если причина проблемы обнаружена, замените соответствующие детали новыми.
Впускной коллектор
Компоненты и расположение компонентов Компоненты 1. Датчик абсолютного давления во впускном коллекторе (MAPS) 2. Впускной коллектор 3. Прокладка модуля электронного управления дроссельной заслонкой (ETC) 4. Прокладка впускного коллектора ...
интеркулер
Компоненты и расположение компонентов Компоненты 1. Воздушная защита интеркулера 2. Интеркулер 3. Электромагнитный клапан управления рециркуляционным клапаном (RCV) и вакуумный шланг 4. Рециркуляционный клапан (RCV) 5. R ...
Дополнительная информация:

Руководство по ремонту и обслуживанию Kia Picanto JA 2017-2023: Неподвижное стекло на четверть


Компоненты и расположение компонентов Расположение компонента 1. Неподвижное стекло на четверть Процедуры ремонта Замена Наденьте перчатки, чтобы защитить руки. • Используйте инструмент для снятия пластиковой панели, чтобы удалить внутренние ...

Kia Picanto JA 2017-2023 Руководство по ремонту и обслуживанию: Интеркулер


Компоненты и расположение компонентов Компоненты 1. Воздушная решетка интеркулера 2. Интеркулер 3. Электромагнитный клапан управления клапаном рециркуляции (RCV) и вакуумный шланг 4. Клапан рециркуляции (RCV) 5. Шланг клапана рециркуляции (RCV) 6. Верхний монтажный кронштейн интеркулера и изолятор 7. Интеркулер.. .