Kia Picanto: система рулевого управления / гидроусилитель руля с электроприводом

Руководство по ремонту и обслуживанию Kia Picanto JA 2017-2023 гг. / Рулевая система / Рулевое управление с электроприводом

Описание и работа
Описание
МДПС (Motor Driven Power Steering) система использует электродвигатель, чтобы помочь рулевое усилие и рулевое управление независимо от работы двигателя система.
МДПС модуль управления управляет работой двигателя в соответствии с информацией полученный от каждого датчика и CAN (локальная сеть контроллеров),
Результирующий в более точном и своевременном управлении усилителем рулевого управления, чем традиционные гидравлические системы с приводом от двигателя. Компоненты (угол поворота Датчик, датчик крутящего момента, реле отказоустойчивости и т. д.) системы MDPS являются находится внутри рулевой колонки. Блок МСПД в сборе, рулевая колонка, и узел МСПД не должен разбираться для осмотра. Они должны быть заменены в случае необходимости.
Компоненты и расположение компонентов
Компоненты

1. Рулевая колонка
2. Карданный шарнир
3. Двигатель МДПС
4. ЭБУ МДПС

Принципиальные диаграммы
Схематические диаграммы

Соединитель жгута

Тип
Пин №
Описание
Батарея
1
Батарея +
2
Батарея -
ВСС
1
IGN
2
-
3
-
4
-
5
-
6
-
7
ВЫСОКАЯ МОЖЕТ
8
НИЗКИЙ МОЖЕТ

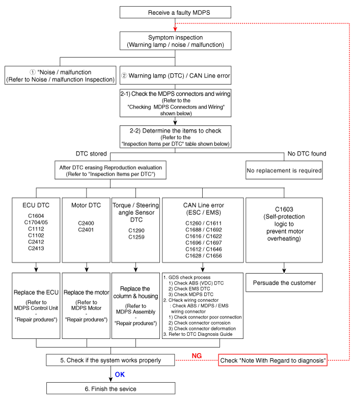
Процедуры ремонта
Процедуры ремонта АС
Рабочий процесс A/S системы MDPS

① Проверка разъемов и проводки
1.
Проверка разъемов и проводки.
Проверьте наличие повреждений, заеданий или неправильного соединения в каждом разъеме и проводке.
(1)
Проверьте проводку со стороны автомобиля.
Проверьте на обрыв/короткое замыкание из-за неправильного соединения, повреждения или наличия посторонних предметов.

(2)
Проверьте проводку со стороны ЭБУ (двигатель 3-фазное питание).
Проверьте на обрыв/короткое замыкание из-за неправильного соединения, повреждения или наличия посторонних предметов.

(3)
Проверьте разъем двигателя.
Расширение терминала и повреждение.

Необходимо заменить двигатель MDPS в случае расширения и повреждения клемм.
(4)
Проверьте проводку двигателя.

Необходимо заменить двигатель MDPS в случае повреждения или проблемы.
② Пункты проверки по DTC
Элемент
код неисправности
Описание
осмотр
Сервисная акция
CAN-линия
C1611
МОЖЕТ ИСКЛЮЧИТЬ ЭМС
1. Проверьте ГДС
2. Проверьте затяжку разъема.
3. Осмотрите разъем ECU CAN.
4. Проверьте состояние заземления транспортного средства MDPS.
Проверка линии EMS CAN
C1616
CAN-ШИНА ВЫКЛ.
Проверьте, может ли линия шасси
C1622
Ошибка сигнала скорости автомобиля
Проверка EMS (ЭБУ двигателя)
Датчик крутящего момента
C1290
Ошибка сигнала датчика крутящего момента
Проверка после сброса DTC.
Проверьте затяжку разъема.
Замените колонку и корпус
если явление сохраняется
C1112
Ошибка напряжения питания датчика крутящего момента
Проверьте датчик крутящего момента и соединительный разъем ECU.
Замените ECU, если проблема сохраняется
ЭБУ
C1604
Аппаратная ошибка ЭБУ
Осмотрите разъем ЭБУ после сброса кода неисправности.
Замените ECU, если проблема сохраняется
ЭБУ
C1705
EPS-модуль
неисправность цепи предварительной зарядки
Осмотрите разъем ECU после сброса DTC.
Замените ECU, если проблема сохраняется
Мотор
C2400
Ошибка сигнала двигателя
Проверьте разъем двигателя после сброса DTC.
Замените двигатель, если проблема сохраняется
Мотор
C2401
Ошибка датчика положения двигателя
Проверьте разъем двигателя после сброса DTC.
Замените двигатель, если проблема сохраняется
ЭБУ/двигатель
C2412
Ошибка тока двигателя
Проверьте разъем двигателя/ЭБУ после сброса кода неисправности.
Первая замена ЭБУ.
Замените двигатель, если проблема сохраняется
Датчик угла поворота рулевого колеса
C1259
Ошибка датчика угла поворота рулевого колеса
Сброс угла поворота рулевого колеса после сброса DTC
Проверьте затяжку разъема.
Замените колонку и корпус
если явление сохраняется
Батарея
C1102
Низкое напряжение батареи
Проверьте состояние напряжения батареи
Напряжение зарядки аккумулятора
Совместное управление
C1696
Ошибка сигнала SPAS
СПАС Инспекция
Стереть код неисправности.
C1697
Совместное управление
C1612
Ошибка сигнала TCU
Осмотр ГТС
Стереть код неисправности.
C1646
Совместное управление
C1628
Ошибка кластерного сигнала
Инспекция кластера
Стереть код неисправности.
C1656
Совместное управление
C1692
Ошибка сигнала VSM
Осмотр ВСМ
Стереть код неисправности.
C1693
АБС
C1260
Ошибка сигнала угла поворота рулевого колеса
Проверка после сброса угла поворота рулевого колеса
Если код C1259 не появляется, проверьте линию CAN.
Сброс угла поворота
Стереть код неисправности.

Шум/неисправность Процедуры ремонта
③ Шум/неисправность Проверка
Симптом
Описание неисправности и метод проверки
Контрмера
Шум/дребезжание
1. Шум, создаваемый рядом с колонной и корпусом MDPS.
Снимите окружающие детали и проверьте, возникает ли такой же шум.
Замените частичный компонент колонки и корпуса
Замените двигатель, если появляется шум
Шум/дребезжание
1. Проверьте ручку и окружающие крепежные детали.
Проверьте схему подключения DAB, DAB, часовую пружину, многофункциональный переключатель и т. д.
Проверьте шум соответствующей части
Проведите отдельную проверку.
2. Проверьте, где установлен C-MDPS.
Ослабьте болт крепления кожуха и соберите его обратно.
(включая сквозной болт крепления нижней части Ц-МСДС)
Проверить установку капота
3. Проверьте зону крепления болта карданного вала.
Полностью снимите карданный шарнир и проверьте, появляется ли шум после повторной установки.
Закрепить новым болтом, если болт карданного вала изношен
4. Проверьте свободный ход рулевой колонки при рулении на стоящем автомобиле.
Проверьте основную проводку, подключенную к МСПП и стойке/помехи вокруг кожуха/трения.
Сохраняйте пространство между окружающими частями
Проверьте свободный ход вокруг проводки и колонки и осмотрите помехи.

④ Меры предосторожности при обслуживании
Меры предосторожности при обращении с MDPS (усилитель руля с электроприводом)
1.
Отказ происходит из-за внутреннего повреждения из-за падения и удара и чрезмерное внешнее воздействие на новый частичный компонент.
→ Будьте осторожны, чтобы не ударить частичный компонент, и замените поврежденную деталь (из-за падения и т. д.) новой.
2.
При креплении рулевого управления чрезмерный удар может привести к скручиванию центральной точки датчика крутящего момента.
3.
При снятии/установке разъема проводка может быть повреждена (деформирована) чрезмерным внешним усилием.
4.
Будьте осторожны при хранении и замене отдельных компонентов в условиях ненормальной температуры и влажности.
Рулевое колесо с подогревом
Описание и работа Описание система обогрева рулевого колеса улучшает температурный комфорт водителя подогревом рулевого колеса при ручном выборе. 1. Управление подогревом ...
МДПС Мотор
Процедуры ремонта Замена 1. Отсоедините отрицательный кабель аккумуляторной батареи. 2. Снимите нижнюю панель аварийной подушки. (См. Кузов — «Нижняя панель аварийного щитка») 3. Отсоедините разъем ЭБУ MDPS. ...
Дополнительная информация:

Руководство по ремонту и обслуживанию Kia Picanto JA 2017-2023: Задний мост в сборе


Компоненты и расположение компонентов Компоненты [Тип диска] 1. Ось Tosion Beam 2. Тормозной диск 3. Тормозной суппорт [Тип барабана] 1. Ось Tosion Beam 2. Барабанный тормоз Процедуры ремонта Удаление 1. Снимите шину колеса (А). Момент затяжки: 107,9 - 127...

Руководство по ремонту и обслуживанию Kia Picanto JA 2017-2023: Датчик давления наддува (ДДД)


Технические характеристики Спецификация ▷ Тип: Пьезорезистивный датчик давления Давление [кПа (кг/см² / psi)] Выходное напряжение (В) [Vref=5V] 32,5 (0,33, 4,71) 0,5 284 (2,90, 41,19) 4,5 Описание ...