Hyundai Tucson manuels

Hyundai Tucson Automotive Service Manual: Поиск и устранение неисправностей

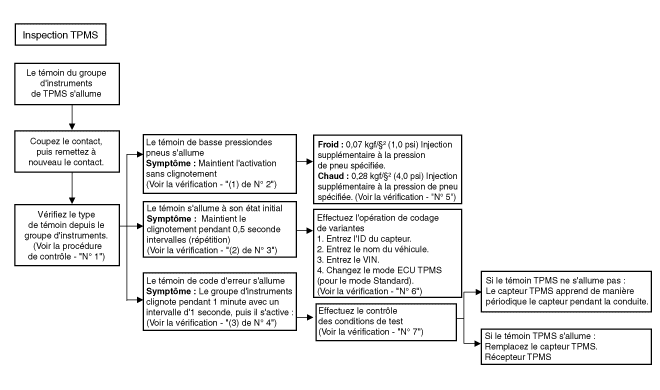
Метод проверки TPMS

Контроль
Найдите контрольный номер, обратившись к таблице выше.
Следующее содержание не подходит для процедуры проверки.
1.
Типы сигнальных ламп
Поддерживает активацию без мигания: Индикатор низкого давления шины
Постоянно мигает с интервалом 0,5 секунды: Индикатор начальное состояние
Комбинация приборов мигает в течение 1 минуты с интервалом 1 секунду, затем загорается: Индикатор кода ошибки
Выключите зажигание, затем снова включите зажигание чтобы проверить тип сигнальной лампы.
2.
(1) Проверьте состояние индикатора.
Проверьте состояние освещения автомобиля.
Проверьте, не вызвано ли состояние освещения низким давлением. шины.

Симптом: Держится без мерцания
3.
(2) Проверьте состояние индикатора.
Проверьте состояние освещения автомобиля.
Проверьте, не вызвано ли состояние лампы начальным состоянием Приемник TPMS (пустой режим).

Симптом: постоянно мигает с интервалом 0,5 второй.
4.
(3) Проверьте состояние индикатора.
Проверьте состояние освещения автомобиля.
Проверьте, не вызвано ли состояние индикатора кодом ошибки (Отказ датчика TPMS и приемника TPMS).
Симптом: Комбинация приборов мигает в течение 1 минуты. с интервалом в 1 секунду, затем активируется.
5.
Сигнализатор низкого давления в шинах
Холодный: автомобиль обслуживается более 60 минут после остановки.
→ 0,07 кгс/см² (1,0 фунт/кв. дюйм) Дополнительный впрыск при давлении в шинах указано.
Горячее: Управляйте транспортным средством.
→ 0,28 кгс/см² (4,0 фунтов на кв. дюйм) Дополнительный впрыск при давлении в шинах указано.
Если индикатор не выключается после инъекции давление в шинах, отключи GDS и меньше езди от 1 км до 25 км/ч.
6.
Проверьте индикатор начального состояния
В.
сигнальная лампа TPMS
(1) Проверьте состояние сигнальной лампы TPMS.
(2) Постоянно мигает с интервалом в 0,5 секунды. → Индикатор исходного состояния
Выключите зажигание, затем снова включите его. контакт для управления типом файла cookie.
Б.
Что нужно проверить, когда сигнальная лампа мигает
(1). Введите идентификатор датчика.
(См. Приемник TPMS — «Процедуры ремонта»)
(2). Введите название автомобиля.
(См. Приемник TPMS — «Процедуры ремонта»)
(3). Введите ВИН.
(См. Приемник TPMS — «Процедуры ремонта»)
(4). Измените режим ЭБУ TPMS (для стандартного режима).
7.
Список кодов неисправности для проверки производительности.
Список
Симптомы
Элементы для проверки
Подробный список
Компоненты
C1312 (Флорида)
C1313 (EN)
C1314 (РЛ)
C1315 (РР)
Получение ошибки датчиком TPMS.
Состояние радиочастотной передачи датчика
Подтвердите радиочастотную передачу датчика
Проверьте датчик DTC
Проверьте батарею датчика
ДАТЧИК СКДШ
Шум в электронных блоках автомобиля
Условия эксплуатации автомобиля
C1332 (Флорида)
C1333 (EN)
C1334 (РЛ)
C1335 (РР)
Внутренний сбой датчика
Проверьте радиочастотную передачу датчика
Напряжение батареи датчика
Проверьте радиочастотную передачу датчика
Проверьте батарею датчика (GDS)
ДАТЧИК СКДШ
C1662
Неудача самообучения
Состояние радиочастотной передачи датчика
Контроль скорости автомобиля EMS (VS)
Проверить шум автомобиля
Подтвердите радиочастотную передачу датчика
Проверьте батарею датчика
Контроль скорости автомобиля EMS (VS)
Контроль шума в электронном блоке автомобиля
ДАТЧИК СКДШ
Шум в электронных блоках автомобиля
Состояние автомобиля
Сигнал скорости автомобиля EMS
C1663
Неудача самообучения
Состояние радиочастотной передачи датчика
Контроль скорости автомобиля EMS (VS)
Проверить шум автомобиля
Подтвердите радиочастотную передачу датчика
Проверьте батарею датчика
Контроль скорости автомобиля EMS (VS)
Контроль шума в электронном блоке автомобиля
ДАТЧИК СКДШ
Шум в электронных блоках автомобиля
Состояние автомобиля
Сигнал скорости автомобиля EMS

Обязательно проверьте код неисправности. (См. Руководство по коду неисправности - "Проверка давления в шинах")
Если сигнальная лампа TPMS не загорается: Датчик TPMS периодически обучает датчик во время руководить.
Если загорается контрольная лампа TPMS: Замените датчик TPMS, приемник TPMS.
Описание и работа
Описание В ПДВ – Предупреждение о недостаточно накачанных/протекающих шинах 1. Условия активации – ...

ДАТЧИК СКДШ
Описание и работа Статус настройки 1. Состояние вождения Передачи датчиков происходят каждую минуту, и давление мой...
Другие материалы:

Презентация экстерьера автомобиля
Передний план 1. Панорамный люк 2. Щетки переднего стеклоочистителя 3. Наружное зеркало 4. Дверные замки 5. Фары 6. Передние противотуманные фары 7. Капюшон 8. Шины и диски 9. Буксировочный крюк Вид сзади 1. Антенна 2. Дефростер 3. Топливный люк 4. Кр...

Преднатяжитель ремня безопасности (водителя и передний пассажир)
Ваш автомобиль оборудован водительским Преднатяжители ремней безопасности (втягивающие Преднатяжитель и аварийное крепление Система устройства). Назначение преднатяжителя убедиться, что ремни безопасности плотно прилегать к телу пассажира при определенных лобовых или боковых столкновениях. Чай Аварийный Фас...