Hyundai i-20 manuels

Hyundai i-20 (GB) 2014-2023 Автосервис Руководство: Устранение неисправностей

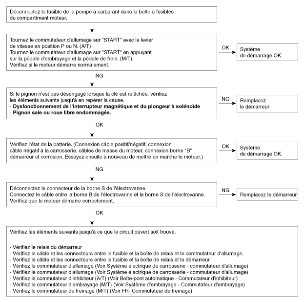
ПОИСК НЕИСПРАВНОСТЕЙ
Симптом
Подозрительный район
СРЕДСТВО
Двигатель не заводится
Низкий заряд батареи
Зарядите или замените батарею
Плохо подключенные, корродированные или изношенные кабели аккумуляторной батареи
Отремонтировать или заменить кабели
Переключатель диапазонов заднего моста коробки передач
(Только для автомобилей с автоматической коробкой передач)
Посмотреть группу АТ Автоматическая коробка передач
перегоревший предохранитель
Замените предохранитель
Неисправный стартер
Заменять
Неисправный замок зажигания
Заменять
Двигатель запускается медленно
Низкий заряд батареи
Зарядите или замените батарею
Плохо подключенные, корродированные или изношенные кабели аккумуляторной батареи
Отремонтировать или заменить кабели
Неисправный стартер
Заменять
Стартер продолжает крутить
Неисправный стартер
Заменять
ЗАМОК ЗАЖИГАНИЯ
Заменять
Стартер крутит, но двигатель не заводится
Короткое замыкание в проводке
Ремонт или замена проводки
Сломанная шестерня или зубья стартера
Заменять
Сломанные коронки зубов
Заменить маховик или гидротрансформатор

Для этого аккумулятор должен быть в хорошем состоянии и полностью заряжен. Поиск неисправностей.

Описание и работа
Описание Система запуска включает в себя аккумуляторную батарею, стартер, выключатель выключатель зажигания, электромагнитный выключатель, выключатель зажигания (A/T), переключатель ...

СТАРТЕР Характеристики
Спецификация ▷12 В, 1,2 кВт: ISG Элемент Спецификация Номинальное напряжение 12В, 1,2кВт Количество зубьев...
Другие материалы:

Использование АБС
Чтобы получить максимальную отдачу от вашей системы ABS в ситуации аварийной ситуации, не пытайтесь модулировать тормозное давление и не пытайтесь для прокачки тормозов. Нажмите сильнее можно на педаль тормоза. Когда вы оперируете...

Замена лампы переднего противотуманного фонаря
1. Выверните винт из-под крышки. 2. Поместите руку за передний бампер. 3. Отсоедините разъем питания от розетки. 4. Извлеките патрон лампы из отсека, повернув его по часовой стрелке. против часовой стрелки, пока...