Ford Fusion Manuals
Разборка к Ford Fusion

Ford Fusion: Идентификационные коды / Идентификационные коды. Описание и работа

Идентификационный номер автомобиля (VIN)

VIN-локатор

Ford Fusion. Identification Codes. Description and Operation

VIN представляет собой 17-значную комбинацию букв и цифр. VIN выбит на металлическом язычке, приклепанном к приборной панели в верхнем левом углу приборной панели. VIN также указан на этикетке VC. Если табличка с номером VIN требует замены, авторизованные дилеры должны обратиться в свое региональное представительство.

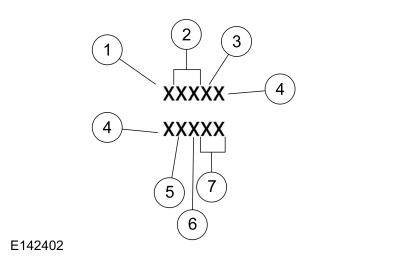
ВИН

Ford Fusion. Identification Codes. Description and Operation
Элемент Описание
1 WMI (мировой идентификатор производителя)
2 Код типа ограничения
3 Модельный ряд автомобиля, серия, код типа кузова
4 Код типа двигателя
5 Компьютерная контрольная цифра
6 Код модельного года
7 Код сборочного завода
8 Порядковый номер производства

Идентификатор мирового производителя

Первые 3 позиции VIN — это WMI (мировой идентификатор производителя).

  • 1FA - Ford Motor Company, США, легковой автомобиль
  • 3FA - Ford Motor Company, Мексика, легковой автомобиль

Тип ограничения

Четвертая позиция VIN — это код типа удерживающей системы транспортного средства.

  • 6 - Активные ремни безопасности (все положения), водителя и подушки безопасности переднего пассажира, боковой удар водителя и переднего пассажира сумки, подлокотник водителя

Модельный ряд, серия и тип кузова автомобиля

Позиции с 5 по 7 обозначают модельный ряд, серию и тип кузова автомобиля.

  • P0A - Ответчик, HEV, седан, полицейский пакет
  • P0C — Fusion SEL, FWD
  • P0D — Fusion Titanium/Platinum, полный привод
  • P0G — Fusion S (БАЗА), FWD
  • P0H — Fusion SE, передний привод
  • P0K — Fusion Titanium, передний привод
  • P0L — Fusion SE, HEV, FWD
  • P0M — Fusion SEL, HEV, FWD
  • P0P — Fusion SE, PHEV, FWD
  • P0R — Fusion Titanium, HEV
  • P0S — Fusion Titanium, PHEV, FWD
  • P0T — Fusion SE, полный привод
  • P0V - Фьюжн, Спорт
  • P0W — специальный SVC, PHEV, седан

Тип двигателя

Восьмая позиция VIN определяет тип двигателя, рабочий объем и количество цилиндров.

  • 7 — 2,5 л DOHC, 4-цилиндровый, бензиновый
  • 9 — 2,0 л GTDI (бензиновый двигатель с турбонаддувом и непосредственным впрыском), TiVCT (двойное независимое изменение фаз газораспределения), бензин
  • D — 1,5 л GTDI (бензин с турбонаддувом и непосредственным впрыском), I4
  • P - 2,7 л GTDI (бензин с турбонаддувом и непосредственным впрыском), 4V, V6, бензин / гибкое топливо
  • T — 2,5 л DOHC, гибкое топливо
  • U — 2,0 л DOHC, 4-цилиндровый, бензиновый/электрический

Контрольная цифра

Девятая позиция VIN - это назначенная правительством контрольная цифра, сгенерированная компьютером.

  • 0-9

Год выпуска

Десятая позиция VIN — это код модельного года.

  • Л - 2020

Сборочный завод

Одиннадцатая позиция VIN — это код сборочного завода.

  • R - Ассамблея Эрмосильо, Мексика

Порядковый номер производства

Последние 6 ВИН position — числовой код последовательности сборки автомобиля. Это также серийный номер автомобиля и гарантийный номер. Серийный номер также может можно найти на блоке цилиндров, трансмиссии и раме.

  • A00001-L99999

Коды ВК

Локатор меток ВК

Ford Fusion. Identification Codes. Description and Operation

Этикетка VC содержит название производителя, месяц и год изготовления, заявление о сертификации и VIN. Он также включает информацию о полной массе автомобиля и шинах. Если транспортному средству требуется замена этикетки VC и ему не более 4 лет, авторизованный дилер должен предоставить VIN. в соответствующий региональный офис. Региональный офис представит веб-форму на сборочный завод для замены этикетки. Как только этикетка распечатан, представитель регионального офиса доставьте этикетку дилеру и засвидетельствуйте установку на автомобиль. Если транспортному средству более 4 лет и требуется замена таблички, дилер должен подать запрос в Департамент транспортных средств.

Этикетка ВК

Ford Fusion. Identification Codes. Description and Operation
Элемент Описание
1 Код краски для наружных работ
2 Код региона
3 Внутренний специальный код заказа
4 Код внутренней отделки
5 Код ленты/красочной полосы
6 Код радио
7 Код оси
8 Код передачи
9 Весенний код
10 Информация о калибровке силового агрегата

Код краски

Коды красок представлены в виде кода, состоящего из двух частей. Первый набор кода краски цифры/буквы обозначают основной цвет кузова автомобиля. Второй набор букв/цифр (если применимо) указывают на двухцветный или акцентный корпус цвет. Все коды краски относятся к базовому/прозрачному покрытию.

  • D4 - быстрый красный металлик
  • E7 - Скорость синего цвета
  • FT - синий металлик
  • G1 — теневой черный / абсолютный черный
  • GN - белое золото
  • J7 - магнитный металлик
  • JS-Знаковое серебро
  • L3- Альтовый синий металлик
  • UG - белая платина (три слоя)
  • UM - черный агат металлик
  • YZ - Оксфорд белый

Коды внутренней отделки

Коды внутренней отделки указаны в виде двухкомпонентного кода. Первая цифра в списке указывает стиль сиденья и ткани. Вторая цифра в списке указывает цвет внутренней отделки.

  • A - Ткань панического бегства
  • B - кожа Салерно
  • D - ткань оси
  • Е - Винил
  • K - кожа с микроперфорацией
  • L - Винил №2
  • P - Salerno с кожей MIKO
  • Q - Роскошная кожа #3
  • V - Виниловая ткань
  • Z - Рено II

Цветовые коды внутренней отделки

  • С - Какао
  • E — черное дерево/средний светлый камень
  • J - Легкая шпатлевка
  • P - черный черный
  • Q — средний светлый камень
  • т - черное дерево
  • V - черное дерево / красновато-коричневый

Коды лент/красочных полос

Коды лент и полос краски не применяются.

Радиокоды

В следующем списке перечислены доступные радиокоды:

  • E - стерео AM / FM, CD, SDARS (система спутникового цифрового аудиоприемника)
  • M — стерео AM/FM, проигрыватель компакт-дисков, SDARS (система спутникового цифрового аудиоприемника), HD (высокая четкость)
  • P - стерео AM/FM, радио din

Коды передачи

Доступные передачи:

  • С — 6-ступенчатая автоматическая (6F55)
  • J — eCVT (электронная бесступенчатая трансмиссия), автомат Powersplit
  • W — 6-ступенчатая автоматическая (6F)

Весенние коды

Весна коды указаны в виде двухкомпонентного кода. Первый набор символов идентифицирует передние пружины. Второй набор символов идентифицирует заднюю часть пружины.

Коды передних пружин

  • Номер базовой детали - 5310

Коды задних пружин

  • Базовый номер детали - 5560

Информация о калибровке силового агрегата

Ford Fusion. Identification Codes. Description and Operation

ПРИМЕЧАНИЕ: Информация о калибровке трансмиссии ограничена 5 символами в строке на этикетке VC. Из-за этого идентификация калибровки, состоящая из более чем 5 символов, будет переноситься на вторую строку на этикетке VC.

Ford Fusion. Identification Codes. Description and Operation

Информация о калибровке силового агрегата печатается в правом нижнем углу VC. этикетка. Печатается только информация о базовой калибровке. Редакция уровни не появятся, однако их можно получить через сканирование инструмент, использующий самую последнюю версию программного обеспечения.

Элемент Описание
1 Модельный год (год, когда впервые была введена стратегия калибровки).
2 Код автомобиля
3 Код передачи
4 Уникальные калибровки (обозначает другое оборудование для аналогичных транспортных средств), например: шины или передаточные числа
5 Код автопарка (описывает автопарк, к которому принадлежит транспортное средство), например: 6 — EVAP
6 Регион сертификации (ведущий регион, где несколько регионов включены в одну калибровку), пример: A — U.S. федеральный
7 Уровень редакции (будет повышаться по мере внесения изменений), полученный с помощью сканирующего устройства.

Год выпуска

  • Д - 2013 г.
  • Э - 2014
  • Ф - 2015
  • Г - 2016
  • Ч - 2017
  • Дж - 2018
  • К - 2019
  • Л- 2020

Код автомобиля

  • СС - Фьюжн

Код передачи

  • 2 - Автоматическая коробка передач

Уникальная калибровка

Выбросы / Средняя корпоративная экономия топлива / Департамент соответствия требованиям CO2 ответственный за присвоение этих калибровочных номеров. Уникальный идентификаторы назначаются для покрытия аналогичных транспортных средств, чтобы различать между шинами, конфигурациями привода, передаточными числами главной передачи и другими калибровочно-значимые факторы. Эти 2 персонажа выбираются аналитик для предоставления идентифицируемой информации, уникальной для каждой калибровки. Например, использование числа 2 для обозначения 2-клапанного двигателя по сравнению с использованием цифра 4 для обозначения 4-клапанного двигателя обеспечивает легко идентифицируемый разница.

Кодирование флота

  • 0 – Сертификация (4K в США, окончательная продажа на экспортных рынках)
  • 1 - Газовый двигатель для тяжелых условий эксплуатации/динамический стенд
  • 2 - Ассоциация производителей быстрых автомобилей, США.
  • 3 - Альтернативный протокол долговечности, США.
  • 4 - Не назначено
  • 5 - Не назначено
  • 6 - Испаритель
  • 7 - Накопление пробега, старение, выносливость, долговечность
  • 8 - БД
  • 9 - Не назначено

Регион сертификации

  • 5 - 50 штатов США
  • A - федеральный уровень США, включая высоту, может включать Канаду и/или Мексику.
  • B - стандарт США в Калифорнии, включая зеленые штаты США.
  • С - Канада
  • Д - Китай
  • E - Европейское сообщество - Австрия, Бельгия, Дания, Финляндия, Франция, Германия, Греция, Ирландия, Италия, Люксембург, Нидерланды, Португалия, Испания, Швеция и Великобритания (Великобритания)
  • F - ECC (расширенное европейское сообщество) - E-plus Хорватия, Чехия, Эстония, Венгрия, Норвегия, Польша, Румыния, Российская Федерация, Словакия, Словения, Швейцария и Югославия
  • G - GCC (Кооперативный совет Персидского залива) - Бахрейн, Кувейт, Оман, Катар, Саудовская Аравия и ОАЭ (Объединенные Арабские Эмираты)
  • Н – Гонконг
  • J - Япония
  • К - Корея
  • L - Малайзия
  • М - Мексика
  • Н – Новая Зеландия
  • П - Австралия
  • Q - Южная Америка (Бразилия)
  • S - Сингапур
  • Т - Тайвань
  • U - Южная Америка (регионы с неэтилированным топливом)
  • V - Вьетнам
  • X - Остальной мир
  • Y - военный
  • Z - Израиль

Уровень редакции (не указан на этикетке)

  • 91-99 - Оборудование и уровни сертификации
  • 01-04 - Предварительные уровни
  • 00 - Производство работы 1 (начальная сертификация)
  • 05-09 - Предварительные изменения калибровки перед работой 1
  • 10-89 - Версии калибровки после задания 1
  • 0B - Уровень испытаний на долговечность
  • BD - средний уровень OBD (до 05)

Идентификационные коды

..

Подъем и подъем

..

Дополнительная информация:

Руководство по эксплуатации Ford Fusion 2013–2020 гг.: Отмена заданной скорости. Изменение заданной скорости


Отмена заданной скорости ПРЕДУПРЕЖДЕНИЕ: Если вы отмените системы нажатием на акселератор педаль, она автоматически не применяется тормоза, чтобы сохранять отрыв от любого автомобиль впереди. При нажатии на педаль акселератора вы отменить заданную скорость и дистанцию ​​разрыва. Используйте педаль акселератора как обычно, чтобы умышленно превышать установленный лимит скорости. Когда вы переопределяете систему, зеленый указать..

Руководство по эксплуатации Ford Fusion 2013–2020 гг.: Лицензионное соглашение с конечным пользователем


КОНЕЧНЫЙ ПОЛЬЗОВАТЕЛЬ ПРОГРАММНОГО ОБЕСПЕЧЕНИЯ АВТОМОБИЛЯ ЛИЦЕНЗИОННОЕ СОГЛАШЕНИЕ (EULA) Вы («Вы» или «Ваш», если применимо) приобрели автомобиль с несколькими устройств, включая SYNC® и различные модули управления («УСТРОЙСТВА»), которые включают программное обеспечение, лицензированное или принадлежащее Ford Motor Company и ее филиалы ("ФОРД МОТОР КОМПАНИ"). Те программные продукты FORD MOTOR ПРОИСХОЖДЕНИЕ КОМПАНИИ, а также партнер..