Ford Explorer: Идентификационные коды / Описание и работа - Идентификационные коды

Руководство по эксплуатации Форд Эксплорер 2020-2023 гг. / Общая служебная информация / Идентификационные коды / Описание и работа – идентификационные коды

Идентификационный номер автомобиля (VIN)

VIN-локатор

VIN представляет собой 17-значную комбинацию букв и цифр. VIN выбит на металлическом язычке, приклепанном к приборной панели в верхнем левом углу приборной панели. VIN также указан на этикетке VC. Если табличка с номером VIN требует замены, авторизованные дилеры должны обратиться в свое региональное представительство.

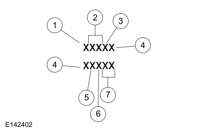
Элемент Описание
1 WMI (мировой идентификатор производителя)
2 Тип ограничения и GVWcode
3 Модельный ряд автомобиля, серия, код типа кузова
4 Код типа двигателя
5 Компьютерная контрольная цифра
6 Код модельного года
7 Код сборочного завода
8 Порядковый номер производства

Идентификатор мирового производителя

Первые 3 позиции VIN — это WMI (мировой идентификатор производителя).

  • 1FM - Ford Motor Company, США, MPV (многоцелевой автомобиль)
  • WF0 - Ford Motor Company, США, MPV (многоцелевой автомобиль) (PHEV (подключаемый гибридный электромобиль))

Тип ограничения

Четвертая позиция VIN — это код ограничения транспортного средства и GVW.

  • Полная масса 5–6 001–7 000 фунтов, активные ремни безопасности (все положения), водитель и передний пассажир пневмоподвеска сумки, надувные удерживающие устройства при боковом ударе (все положения), водитель и подлокотник переднего пассажира
  • S - 5 001 - 6 000 фунтов полной массы, активные ремни безопасности (все положения), водитель и передний пассажир пневмоподвеска сумки, надувные удерживающие устройства при боковом ударе (все положения), водитель и подлокотник переднего пассажира

Модельный ряд, серия и тип кузова автомобиля

Позиции с 5 по 7 обозначают модельный ряд, серию и тип кузова автомобиля.

  • K7B - Проводник, задний привод, база
  • K7D - Исследователь, RWD, XLT
  • K7F - Исследователь, задний, ограниченный
  • K8A - Explorer, 4WD, полицейский пакет
  • K8B - Исследователь, 4WD, База
  • K8D - Исследователь, 4WD, XLT
  • K8F - Исследователь, 4WD, Ограниченная
  • K8G - Исследователь, 4WD, ST
  • K8H - Исследователь, 4WD, Платина

Тип двигателя

Восьмая позиция VIN определяет тип двигателя, рабочий объем и количество цилиндров.

  • B — 3,3 л, DOHC (двойной верхний распределительный вал), TiVCT (двойной независимый вариатор фаз газораспределения), V6
  • C — 3,0 л, GTDI (бензин с турбонаддувом и непосредственным впрыском), V6
  • H — 2,3 л, I4 (рядный 4-цилиндровый), TiVCT (двойной независимый регулируемый фазоинвертор), 270 л.с.
  • W — 3,3 л, TiVCT (двойной независимый кулачок с регулируемой синхронизацией), V6, HEV
  • Y — 3,0 л, Nano, GTDI (бензин с турбонаддувом и непосредственным впрыском), V6, PHEV

Контрольная цифра

Девятая позиция VIN - это назначенная правительством контрольная цифра, сгенерированная компьютером.

  • 0–9

Год выпуска

Десятая позиция VIN — это код модельного года.

  • М - 2021

Сборочный завод

Одиннадцатая позиция VIN — это код сборочного завода.

  • G — Чикагская ассамблея — Чикаго, Иллинойс
  • N - Чикагский центр SHO - Чикаго, Иллинойс

Порядковый номер производства

Последние 6 ВИН position — числовой код последовательности сборки автомобиля. Это также серийный номер автомобиля и гарантийный номер. Серийный номер также может можно найти на блоке цилиндров, трансмиссии и раме.

  • А00001 - F99999

Коды ВК

Локатор меток ВК

Этикетка VC содержит название производителя, месяц и год изготовления, заявление о сертификации и VIN. Он также включает информацию о полной массе автомобиля и шинах. Если транспортному средству требуется замена этикетки VC и ему не более 4 лет, авторизованный дилер должен предоставить VIN. в соответствующий региональный офис. Региональный офис представит веб-форму на сборочный завод для замены этикетки. Как только этикетка распечатан, представитель регионального офиса доставьте этикетку дилеру и засвидетельствуйте установку на автомобиль. Если транспортному средству более 4 лет и требуется замена таблички, дилер должен подать запрос в Департамент транспортных средств.

Элемент Описание
1 Код краски для наружных работ
2 Код региона
3 Код DSO (специальный порядок округа)
4 Код колесной базы
5 Код внутренней отделки
6 Код ленты/красочной полосы
7 Код радио
8 Код оси
9 Код передачи
10 Весенний код
11 Информация о калибровке силового агрегата

Код краски

Коды красок могут быть указаны в виде кода, состоящего из двух частей. Первый набор кода краски цифры/буквы обозначают основной цвет кузова автомобиля. Второй набор букв/цифр (если применимо) указывают на двухцветный или акцентный корпус цвет. Все коды краски относятся к базовому/прозрачному покрытию.

Основной цвет кузова

  • AB - Infinite Blue Metallic (тонированный прозрачный лак)
  • AZ - Звездный белый/Первородный белый
  • B3 — Синий атлас/Синий ремесленник
  • BN - Ель серебристая
  • BU - Средне-коричневый металлик
  • D1 - каменно-серый
  • D4 - Rapid Red (тонированный прозрачный слой)/Red Carpet (трехслойный слой)
  • E3 — Бежевая Аризона (только полицейский пакет)
  • E4 — ярко-красный
  • HG - дымовой камень
  • J1 - Кадьяк Браун
  • JL - Темный красный тореадор металлик
  • JS — Iconic Silver/Silver Radiance
  • KR - Norcea Blue Pearl Metallic
  • LK - Темно-синий однотонный
  • LM - Королевский синий однотонный
  • LN - Голубой металлик
  • M7 — обугленный серый/пепельно-серый
  • TN - серебристо-серый металлик
  • UJ - Стерлинговый серый металлик
  • UM - черный агат металлик
  • YG - средний титан
  • YZ - белый однотонный оксфорд

Акцентный цвет

  • YZ - белый однотонный оксфорд

Колесная база

Следующее определяет колесную базу автомобиля:

  • 119 - 119 в ( 3023 мм) колесная база

Коды внутренней отделки

Коды внутренней отделки указаны в виде двухкомпонентного кода. Первая цифра в списке указывает стиль сиденья и ткани. Вторая цифра в списке указывает цвет внутренней отделки.

Тип внутренней отделки

  • 7 - Тканевая отделка А
  • 8 - Тканевая отделка В
  • 9 - Отделка тканью Police C с винилом, (Полицейский пакет)
  • C — кожа B с подогревом/охлаждением и электроприводом сидений водителя/пассажира с регулировкой по 10 параметрам
  • D — Кожа C с подогревом/охлаждением и электроприводом сидений водителя/пассажира с регулировкой по 10 параметрам
  • F — отделка полицейской тканью D (Полицейский пакет)
  • S - отделка Activex с винилом

Цветовые коды внутренней отделки

  • 6 - Черное дерево
  • А - светлый песчаник
  • H - все черное черное дерево
  • Н - песчаник
  • Y - светлый сланец

Коды лент/красочных полос

Коды лент и полос краски не применяются.

Радиокоды

В следующем списке перечислены доступные радиокоды:

  • 7 — Фирменный плюс AM/FM-стерео (Китай)
  • J — Фирменный плюс стерео AM/FM
  • L - Среднее AM/FM стерео, с BVC (Полицейский пакет)
  • R — Стерео AM/FM без указания бренда, пакет со льдом 1
  • S — Стереосистема AM/FM других производителей, SDARS (система спутникового цифрового аудиоприемника), пакет со льдом 2
  • U - Фирменный плюс стерео AM/FM, SDARS (система спутникового цифрового аудиоприемника) без DIV
  • V - Фирменное стерео AM / FM, пакет со льдом 5
  • W - Фирменное стерео AM / FM, SDARS (система спутникового цифрового аудиоприемника), пакет со льдом 6
  • X - Фирменная стереосистема AM / FM, пакет со льдом 7 (Китай и Мьянма)

Тип оси

Ниже перечислены доступные передаточные числа осей и соответствующие коды:

  • 3А - соотношение 3,31
  • 3B - соотношение 3,58
  • 3C - соотношение 3,73

Коды передачи

Доступные передачи:

  • B — модифицированная гибридная трансмиссия (A10R80) — MHT
  • Т - 10-ступенчатый автомат (10R60)
  • У - 10-ступенчатый автомат (10R80)

Весенние коды

Коды Spring перечислены как код из двух частей. Первые 2 символа обозначают правую и левую передние пружины. Третий и четвертый символы обозначают правую и левую задние пружины.

Передние пружины

  • Номер базовой детали - 5310

Задние пружины

  • Базовый номер детали - 5560

Информация о калибровке силового агрегата

ПРИМЕЧАНИЕ: Информация о калибровке трансмиссии ограничена 5 символами в строке на этикетке VC. Из-за этого идентификация калибровки, состоящая из более чем 5 символов, будет переноситься на вторую строку на этикетке VC.

Информация о калибровке силового агрегата печатается в правом нижнем углу VC. этикетка. Печатается только информация о базовой калибровке. Редакция уровни не появятся, однако их можно получить через сканирование инструмент, использующий самую последнюю версию программного обеспечения.

Элемент Описание
1 Модельный год (год, когда впервые была введена стратегия калибровки).
2 Линия автомобиля
3 Код передачи
4 Уникальные калибровки (обозначает разные оборудование для аналогичных транспортных средств), например: шины или передаточные числа
5 Код автопарка (описывает автопарк, к которому принадлежит транспортное средство), например: 6 — EVAP
6 Регион сертификации (ведущий регион, где несколько регионов включены в одну калибровку), пример: A — США федеральный
7 Уровень редакции (будет продвигаться по мере встречаются), не напечатаны на этикетке, но могут быть получены с помощью сканера

Год выпуска

  • М - 2021

Код автомобиля

  • ТВ - Форд Эксплорер

Код передачи

  • 2 - Автоматическая коробка передач

Уникальная калибровка

Выбросы / Средняя корпоративная экономия топлива / Департамент соответствия требованиям CO2 ответственный за присвоение этих калибровочных номеров. Уникальный идентификаторы назначаются для покрытия аналогичных транспортных средств, чтобы различать между шинами, конфигурациями привода, передаточными числами главной передачи и другими калибровочно-значимые факторы. Эти 2 персонажа выбираются аналитик для предоставления идентифицируемой информации, уникальной для каждой калибровки. Например, использование числа 2 для обозначения 2-клапанного двигателя по сравнению с использованием цифра 4 для обозначения 4-клапанного двигателя обеспечивает легко идентифицируемый разница.

Кодирование флота

  • 0 – Сертификация (4K в США, окончательная продажа на экспортных рынках)
  • 1 - Газовый двигатель для тяжелых условий эксплуатации/динамический стенд
  • 2 - Ассоциация производителей быстрых автомобилей, США.
  • 3 - Альтернативный протокол долговечности, США.
  • 4 - Не назначено
  • 5 - Не назначено
  • 6 - Испаритель
  • 7 - Накопление пробега, старение, выносливость, долговечность
  • 8 - БД
  • 9 - Не назначено

Регион сертификации

  • 5 - 50 штатов США
  • A - федеральный уровень США, включая высоту, может включать Канаду и/или Мексику.
  • B - стандарт США в Калифорнии, включая зеленые штаты США.
  • С - Канада
  • Д - Китай
  • E - Европейское сообщество - Австрия, Бельгия, Дания, Финляндия, Франция, Германия, Греция, Ирландия, Италия, Люксембург, Нидерланды, Португалия, Испания, Швеция и Великобритания (Великобритания)
  • F - EEC (расширенное европейское сообщество) - E-plus Хорватия, Чехия, Эстония, Венгрия, Норвегия, Польша, Румыния, русский Федерации, Словакии, Словении, Швейцарии и Югославии)
  • G - GCC (Кооперативный совет Персидского залива) - Бахрейн, Кувейт, Оман, Катар, Саудовская Аравия и ОАЭ (Объединенные Арабские Эмираты)
  • Н – Гонконг
  • J - Япония
  • К - Корея
  • L - Малайзия
  • М - Мексика
  • Н – Новая Зеландия
  • П - Австралия
  • Q - Южная Америка (Бразилия)
  • S - Сингапур
  • Т - Тайвань
  • U - Южная Америка (регионы с неэтилированным топливом)
  • V - Вьетнам
  • X — ROW (Остальной мир)
  • Y - военный
  • Z - Израиль

Уровень редакции (не указан на этикетке)

  • 91-99 - Оборудование и уровни сертификации
  • 01-04 - Предварительные уровни
  • 00 - Производство работы 1 (начальная сертификация)
  • 05-09 - Предварительные изменения калибровки перед работой 1
  • 10-89 - Версии калибровки после задания 1
  • 0B - Уровень испытаний на долговечность
  • BD - средний уровень OBD (до 05)

Идентификационные коды

..

Подъем и подъем

..

Дополнительная информация:

Руководство по обслуживанию Ford Explorer 2020-2023: Описание и работа - Комбинация приборов (IPC) - Работа системы и описание компонентов


Работа системы Схема системы — Датчики Газ Элемент Описание 1 МПК 2 GWM 3 ПКМ 4 Топливный насос и датчик 5 Аналоговые датчики базового/среднего уровня 6 Виртуальные датчики среднего уровня 7 полный привод 8 Виртуальные датчики высокого уровня 9 полный привод 10 полный привод 11 Виртуальный датчик базового уровня 12 Температура 13 Топливо 14 С..

Руководство по обслуживанию Ford Explorer 2020-2023: Общие процедуры - Снятие коврика обогревателя сиденья


Ремонт ПРЕДУПРЕЖДЕНИЕ: Чтобы свести к минимуму риск получения травмы, всегда надевайте защитные перчатки при работе с отпаривателем. Несоблюдение этих инструкций может привести к серьезной травме. ПРИМЕЧАНИЕ: Нажмите здесь, чтобы просмотреть видеоверсию снятия и установки коврика обогревателя сиденья...

Категории

Замки безопасности детей

Когда эти замки установлены, вы не можете открыть задние двери изнутри.

Замок для безопасности детей находится на задней кромке каждой задней двери. Вы должны установить ребенка замок безопасности отдельно на каждую дверь.

Левая сторона

читать далее

Каталог запчастей к Ford Explorer